【药物名称】SEA-0400
化学结构式(Chemical Structure):
参考文献No.39163
标题:2-Phenoxyaniline derivs.
作者:Tomisawa, K.; Taguchi, M.; Nakanishi, M.; Ota, T.; Aibe, I. (Taisho Pharmaceutical Co., Ltd.)
来源:EP 1031556; JP 1999193263; US 6162832; WO 9920598
合成路线图解说明:

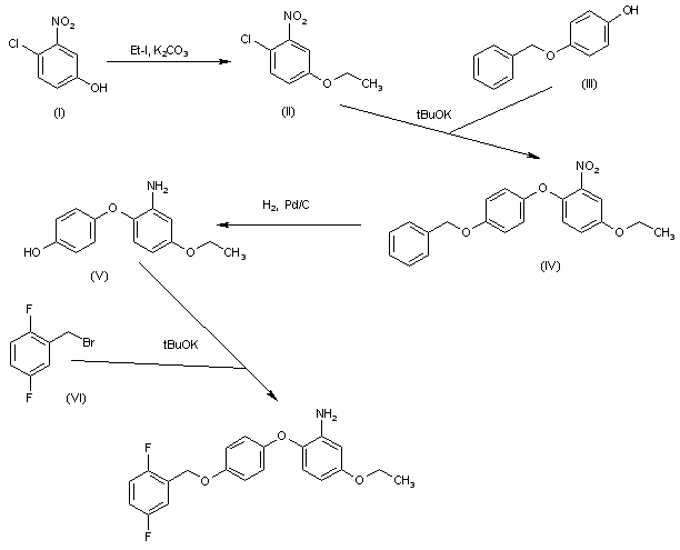
The reaction of 4-chloro-3-nitrophenol (I) with ethyl iodide and K2CO3 in hot acetone gives the aryl ether (II), which is condensed with 4-benzyloxyphenol (III) by means of t-BuOK in DMF at 150 C to yield the adduct (IV). The reductive debenzylation of (IV), with simultaneous reduction of the nitro group by means of H2 over Pd/C in THF/ethanol affords 5-ethoxy-2-(4-hydroxyphenoxy)aniline (V), which is finally condensed with 2,5-difluorobenzyl bromide (VI) by means of tBu-OK in DMF to provide the target aniline.

参考文献No.47701
标题:Na+/Ca2+ exchange inhibitors
作者:Taguchi, M.; Ohta, T.; Nakanishi, M.; Tomizawa, K.; Soube, I. (Taisho Pharmaceutical Co., Ltd.)
来源:JP 2000355537
合成路线图解说明:

The reaction of 4-chloro-3-nitrophenol (I) with ethyl iodide and K2CO3 in hot acetone gives the aryl ether (II), which is condensed with 4-benzyloxyphenol (III) by means of t-BuOK in DMF at 150 C to yield the adduct (IV). The reductive debenzylation of (IV), with simultaneous reduction of the nitro group by means of H2 over Pd/C in THF/ethanol affords 5-ethoxy-2-(4-hydroxyphenoxy)aniline (V), which is finally condensed with 2,5-difluorobenzyl bromide (VI) by means of tBu-OK in DMF to provide the target aniline.

Drug Information Express,Drug R&D,Chemical Database,Patent Search.
Copyright © 2006-2026 Drug Future. All rights reserved.Contact Us