【药物名称】
化学结构式(Chemical Structure):
参考文献No.40722
标题:3',3'-N-Bis-substd. macrolide LHRH antagonists
作者:Randolph, J.; Haviv, F.; Bruncko, M.; Crawford, B.W.; Dalton, C.R.; Frey, L.M.; Kaminski, M.A.; Greer, J.; Sauer, D.R.; Mort, N.A. (Abbott Laboratories Inc.)
来源:US 5972898; WO 9950276
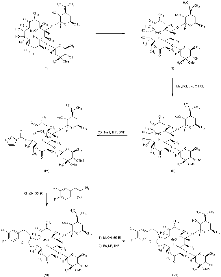
合成路线图解说明:

6-O-Methylerythromycin A (I) was protected as the 2'-acetate (II) and subsequently treated with chlorotrimethylsilane and pyridine to afford the 4''-O-silyl ether (III). Condensation of (III) with 1,1'-carbonyldiimidazole yielded the 12-O-acylimidazole derivative (IV), which was subsequently reacted with 3-chloro-4-fluorophenethyl amine (V) to form the 11,12-cyclic carbamate (VI). Deprotection of the acetate ester of (VI) on heating with methanol, followed by desilylation with tetrabutylammonium fluoride in THF yielded (VII).

合成路线图解说明:

Treatment of (VII) with iodine and sodium acetate under irradiation of a halogen lamp produced N-demethylation to furnish (VIII). Further demethylation of (VIII) to give (IX) was achieved by a similar treatment with iodine and tripotassium phosphate. Finally, reductive condensation of (IX) with cyclopropanecarbaldehyde (X) in the presence of sodium cyanoborohydride yielded the bis(cyclopropylmethyl) derivative.

Drug Information Express,Drug R&D,Chemical Database,Patent Search.
Copyright © 2006-2026 Drug Future. All rights reserved.Contact Us