【药物名称】A-177775
化学结构式(Chemical Structure):
参考文献No.40548
标题:Macrolide LHRH antagonists
作者:Kaminski, M.A.; Crawford, B.W.; Dalton, C.R.; Mort, N.A.; Sauer, D.R.; Bruncko, M.; Greer, J.; Frey, L.M.; Randolph, J.; Haviv, F. (Abbott Laboratories Inc.)
来源:US 5955440; WO 9950275
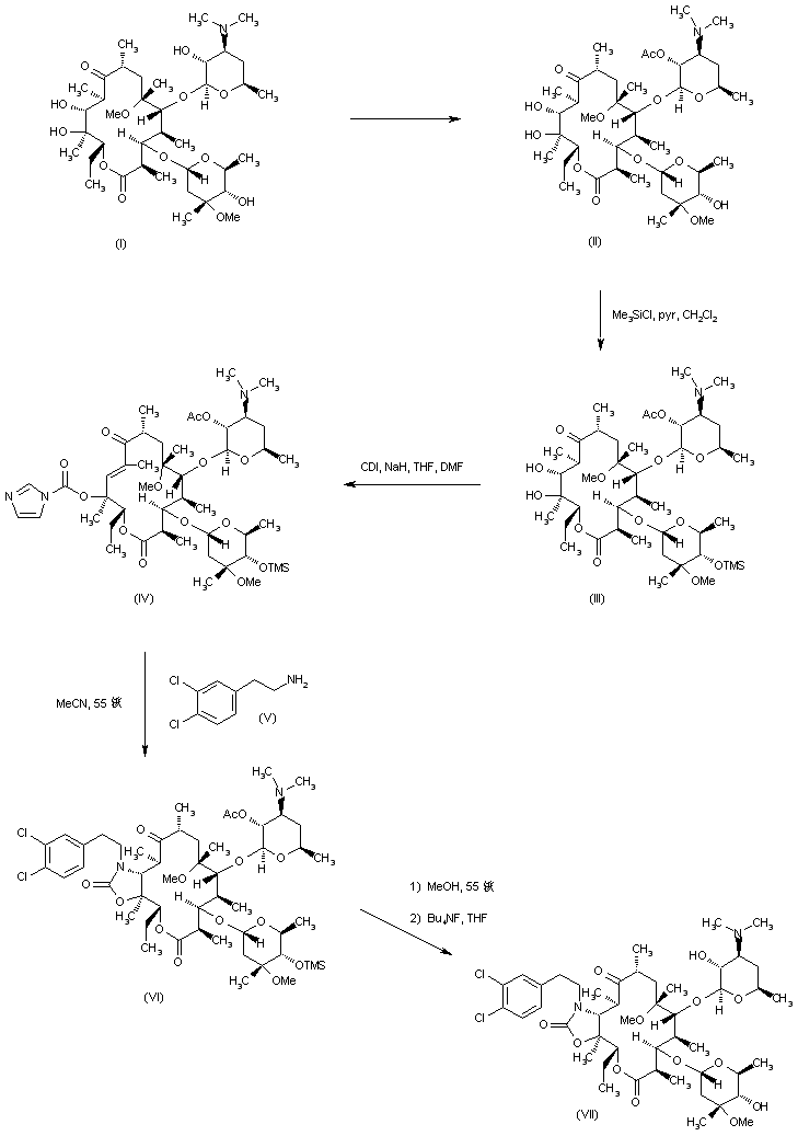
合成路线图解说明:

6-O-Methylerythromycin A (I) was protected as the 2'-acetate (II) and subsequently treated with chlorotrimethylsilane and pyridine to afford the 4''-O-silyl ether (III). Condensation of (III) with 1,1'-carbonyldiimidazole yielded the 12-O-acylimidazole derivative (IV), which was subsequently reacted with 3,4-dichlorophenethyl amine (V) to form the 11,12-cyclic carbamate (VI). Deprotection of the acetate ester of (VI) on heating with methanol, followed by desilylation with tetrabutylammonium fluoride in THF yielded (VII).

合成路线图解说明:

N-Demethylation by treatment with iodine and sodium acetate under irradiation of a halogen lamp produced secondary amine (VIII). Finally, reductive condensation of (VIII) with cyclopentanone (IX) in the presence of sodium cyanoborohydride yielded the title cyclopentylamino compound.

Drug Information Express,Drug R&D,Chemical Database,Patent Search.
Copyright © 2006-2026 Drug Future. All rights reserved.Contact Us