【药物名称】LNP-509
化学结构式(Chemical Structure):
参考文献No.49466
标题:Aminopyrrolidine derivs., processes for their preparation and pharmaceutical compsns. comprising them
作者:Renard, P.; Feldman, J.; Bousquet, P.; Bruban, V.; Schann, S.; Scalbert, E.; Pfeiffer, B.; Ehrhardt, J.-D. (ADIR et Cie.)
来源:EP 1101756; FR 2801051; JP 2001139545; US 6300366
合成路线图解说明:

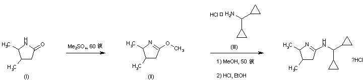
The title compound was prepared by two related procedures. Treatment of cis-4,5-dimethyl-2-pyrrolidinone (I) with dimethyl sulfate gave the methoxypyrroline (II). The methoxy group of (II) was then displaced with dicyclopropylmethylamine (III) to provide the desired aminopyrroline.

参考文献No.611256
标题:Synthesis and biological evaluation of pyrrolinic isosteres of rilmenidine. Discovery of cis-I-trans-dicyclopropylmethyl-(4,5-dimethyl-4,5-dihydro-3H-pyrrol-2-yl)-amine (LNP 509), an I1 imidazoline receptor selective ligand with hypotensive activity
作者:Schann, S.; Bruban, V.; Pompermayer, K.; Feldman, J.; Pfeiffer, B.; Renard, P.; Scalbert, E.; Bousquet, P.; Ehrhardt, J.-D.
来源:J Med Chem 2001,44(10),1588
合成路线图解说明:

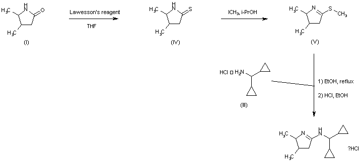
In a more convenient method, pyrrolidinone (I) was converted to the thiolactam (IV) upon treatment with Lawesson's reagent. Alkylation of (IV) with iodomethane furnished the corresponding (S)-methyl derivative (V). This was finally condensed with dicyclopropylmethylamine (III), yielding the title compound.

Drug Information Express,Drug R&D,Chemical Database,Patent Search.
Copyright © 2006-2026 Drug Future. All rights reserved.Contact Us