【药物名称】Olivomycin A
化学结构式(Chemical Structure):
参考文献No.545925
标题:Total synthesis of olivomycin A
作者:Roush, W.R.; et al.
来源:J Am Chem Soc 1999,121(9),1990
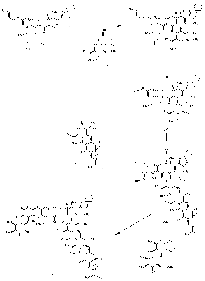
合成路线图解说明:

The condensation of the protected aglucone (I) with the glucoside (II) by means of TBS triflate gives the condensed alpha-glucoside (III), which is worked up to yield the bis-chloroacetylated intermediate that is desilylated to compound (IV). The condensation of (IV) with disaccharide (V) gives the trisaccharide (VI), which by deprotection of the phenolic chloroacetate and condensation with disaccharide (VII) affords the pentasaccharide (VIII).

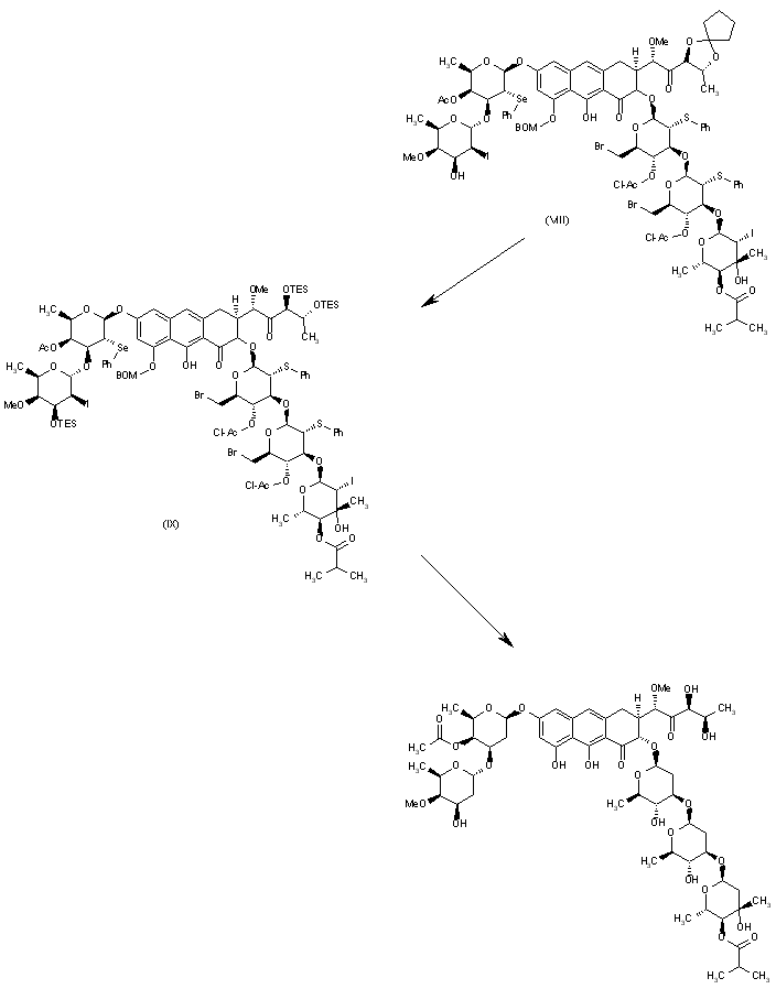
合成路线图解说明:

The elimination of the diol protecting group of compound (VIII) with CSA in methanol followed by silylation with TES triflate affords the silylated pentasaccharide (IX), which is finally desulfurized and deiodinated by hydrogenolysis with Et3B and Bu3SnH, and with RaNi to eliminate also the BOM protecting group, and with FH in pyridine to eliminate the silyl and chloroacetyl groups affording the target olivomycin A.

Drug Information Express,Drug R&D,Chemical Database,Patent Search.
Copyright © 2006-2026 Drug Future. All rights reserved.Contact Us