【药物名称】Oxipurinol, Oxypurinol, NSC-76239, Oxyprim
化学结构式(Chemical Structure):
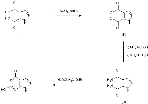
参考文献No.56376
标题:Treatment of hyperuricemia in humans
作者:Hitchings, G.H.; Falco, E.A. (GlaxoSmithKline Inc.)
来源:GB 0798646; US 3624205
合成路线图解说明:

In an alternative method, chlorination of pyrazole-3,4-dicarboxylic acid (I) with SOCl2 produces acid chloride (II), which is further converted into diamide (III) upon treatment with ammonia. Subsequent Hofmann rearrangement of amide (III) in the presence of sodium hypochlorite leads to the target pyrazolopyrimidine compound (3, 4).

参考文献No.64775
标题:Process for the preparation of biologically active cpds. as well as novel cpds.
作者:Shaw, G.; Baildon, S.; Lees, P. Sr.
来源:DE 1814082
合成路线图解说明:

1) The esterification of 1-(4-chlorobenzoyl)-3-(4-phenyl-1-piperazinyl)propanol (I) with phosgene by means of triethylamine in CHCl3 gives the corresponding chloroformate ester (II), which is then cyclized by heating.

合成路线图解说明:

2) By direct cyclization of (I) with N,N'- carbonyldiimidazole (III) in refluxing benzene.

合成路线图解说明:

3) By direct cyclization of (I) with phosgene in refluxing CHCl3.

合成路线图解说明:

Cyanoacetic acid (I) is condensed with urethane (II) in hot Ac2O to afford N ethoxycarbonyl-cyanoacetamide (III). Subsequent reaction of (III) with triethyl orthoformate yields alpha-cyano-beta-ethoxy-N-ethoxycarbonyl-acrylamide (IV). The ethoxy group of (IV) is then displaced with hydrazine hydrate in EtOH to produce the hydrazino acrylamide (V). Finally, thermal cyclization of (V) gives rise to the title pyrazolopyrimidine (1, 2).

参考文献No.64776
标题:Pyrazolo-(3,4-d) pyrimidines
作者:Hitchings, G.H.; Faco, E.A. (GlaxoSmithKline Inc.)
来源:US 3474098
合成路线图解说明:

In an alternative method, chlorination of pyrazole-3,4-dicarboxylic acid (I) with SOCl2 produces acid chloride (II), which is further converted into diamide (III) upon treatment with ammonia. Subsequent Hofmann rearrangement of amide (III) in the presence of sodium hypochlorite leads to the target pyrazolopyrimidine compound (3, 4).

参考文献No.757595
标题:Purines, pyrimidines, and imidazoles. Part XXXVII. Some new syntheses of pyrazolo[3,4-d]pyrimidines, including allopurinol
作者:Hildick, B.G.; Shaw, G.
来源:J Chem Soc 1971,(9),1610
合成路线图解说明:

Cyanoacetic acid (I) is condensed with urethane (II) in hot Ac2O to afford N ethoxycarbonyl-cyanoacetamide (III). Subsequent reaction of (III) with triethyl orthoformate yields alpha-cyano-beta-ethoxy-N-ethoxycarbonyl-acrylamide (IV). The ethoxy group of (IV) is then displaced with hydrazine hydrate in EtOH to produce the hydrazino acrylamide (V). Finally, thermal cyclization of (V) gives rise to the title pyrazolopyrimidine (1, 2).

Drug Information Express,Drug R&D,Chemical Database,Patent Search.
Copyright © 2006-2026 Drug Future. All rights reserved.Contact Us