【药物名称】
化学结构式(Chemical Structure):
参考文献No.538860
标题:Thioamides: Synthesis, stability, and immunological activities of thioanalogues of imreg. Preparation Of new thioacylating agents using fluorobenzimidazolone derivatives
作者:Zackarie, B.; Lagraoui, M.; Dimarco, M.; Penney, C.L.; Gagnon, L.
来源:J Med Chem 1999,42(11),2046
合成路线图解说明:

Coupling of N-Boc-O-benzyltyrosine (I) with 4-fluoro-1,2-phenylenediamine (II) by means of EDC afforded amide (III), which was converted into thioamide (IV) upon treatment with phosphorus pentasulfide and Na2CO3. Then, ring closure of (IV) with phosgene afforded the benzimidazolone derivative (V).

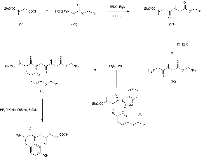
合成路线图解说明:

Coupling of N-Boc-glycine (VI) with glycine benzyl ester hydrochloride (VII) by means of 2-ethoxy-1-ethoxycarbonyl-1,2-dihydroquinoline (EEDQ) gave the protected dipeptide (VIII). After deprotection of the Boc group of (VIII) with HCl, the resulting amine (IX) was condensed with the thioacylating compound (V) to furnish thioamide (X). Finally, the Boc and benzyl protecting groups of (X) were cleaved using HF.

Drug Information Express,Drug R&D,Chemical Database,Patent Search.
Copyright © 2006-2026 Drug Future. All rights reserved.Contact Us