【药物名称】
化学结构式(Chemical Structure):
参考文献No.34634
标题:Heterocyclic cpds. and their preparation and use
作者:Jeppesen, L.; Olesen, P.H.; Sauerberg, P. (Novo Nordisk A/S)
来源:EP 0891363; JP 1999509864; US 5914338; WO 9736906
合成路线图解说明:

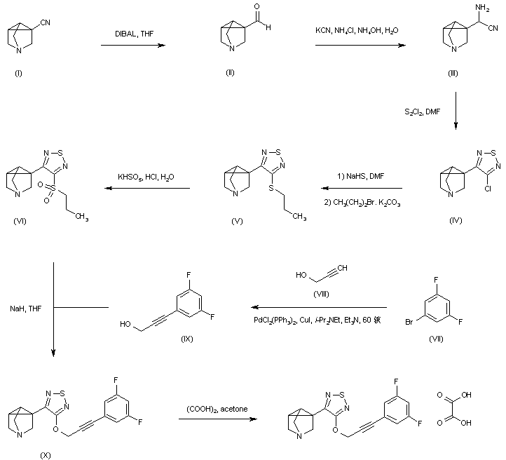
Reduction of cyanoazatricycloheptane (I) with diisobutylaluminum hydride produced aldehyde (II), which was treated with KCN and ammonia yielding aminonitrile (III). Cyclization of (III) with sulfur monochloride in DMF gave the 3-chloro-1,2,5-thiadiazole (IV). Displacement of the halogen atom of (IV) with sodium hydrogen sulfide, followed by alkylation with propyl bromide afforded the propyl thioether (V), which was oxidized to sulfone (VI) using oxone(R). The arylpropynol intermediate (IX) was prepared by coupling of 1-bromo-3,5-difluorobenzene (VII) with propargyl alcohol (VIII) in the presence of PdCl2(PPh3)2 and CuI. Reaction of sulfone (VI) with arylpropynol (IX) in the presence of NaH in THF provided the target ether (X). Finally, treatment of (X) with oxalic acid in acetone furnished the corresponding oxalate salt.

参考文献No.538861
标题:1-(1,2,5-Thiadiazol-4-yl)-4-azatricyclo[2.2.1.0(2,6)]heptanes as new potent muscarinic M1 agonists: Structure-activity relationship for 3-aryl-2-propyn-1-yloxy and 3-aryl-2-propyn-1-ylthio derivatives
作者:Hansen, L.; Olesen, P.H.; Jeppesen, L.; Sheardown, M.J.; Thomsen, C.; Rasmussen, T.; Jensen, A.F.; Christensen, M.S.; Rimvall, K.; Ward, J.S.; Whitesitt, C.; Calligaro, D.O.; Bymaster, F.P.; Delapp, N.W.; Felder, C.C.; Shannon, H.E.; Sauerberg, P.
来源:J Med Chem 1999,42(11),1999
合成路线图解说明:

Reduction of cyanoazatricycloheptane (I) with diisobutylaluminum hydride produced aldehyde (II), which was treated with KCN and ammonia yielding aminonitrile (III). Cyclization of (III) with sulfur monochloride in DMF gave the 3-chloro-1,2,5-thiadiazole (IV). Displacement of the halogen atom of (IV) with sodium hydrogen sulfide, followed by alkylation with propyl bromide afforded the propyl thioether (V), which was oxidized to sulfone (VI) using oxone(R). The arylpropynol intermediate (IX) was prepared by coupling of 1-bromo-3,5-difluorobenzene (VII) with propargyl alcohol (VIII) in the presence of PdCl2(PPh3)2 and CuI. Reaction of sulfone (VI) with arylpropynol (IX) in the presence of NaH in THF provided the target ether (X). Finally, treatment of (X) with oxalic acid in acetone furnished the corresponding oxalate salt.

Drug Information Express,Drug R&D,Chemical Database,Patent Search.
Copyright © 2006-2026 Drug Future. All rights reserved.Contact Us