【药物名称】
化学结构式(Chemical Structure):
参考文献No.538854
标题:3,7-Disubstituted-1,2,3,4-tetrahydroisoquinolines display remarkable potency and selectivity as inhibitors of phenylethanolamine N-methyltransferase versus the alpha2-Adrenoceptor1a
作者:Grunewald, G.L.; Dahanukar, V.H.; Teoh, B.; Criscione, K.R.
来源:J Med Chem 1999,42(11),1982
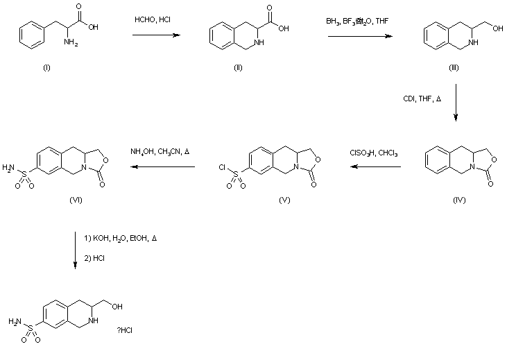
合成路线图解说明:

Pictet-Spengler condensation of phenylalanine (I) with formaldehyde and HCl provided tetrahydroisoquinoline (II). Reduction of the carboxylic acid (II) to alcohol (III) was then performed in the presence of borane and BF3-Et2O. Subsequent protection of amino and hydroxyl groups of (III) with carbonyl diimidazole in boiling THF produced the cyclic carbamate (IV). After chlorosulfonation of (IV), the resulting sulfonyl chloride (V) was treated with ammonia in acetonitrile to furnish sulfonamide (VI). Finally, basic hydrolysis of the oxazolidinone (VI), followed by acid decarboxylation yielded the title compound.

Drug Information Express,Drug R&D,Chemical Database,Patent Search.
Copyright © 2006-2026 Drug Future. All rights reserved.Contact Us