【药物名称】
化学结构式(Chemical Structure):
参考文献No.545150
标题:Unique analogues of anandamide: Arachidonyl ethers and carbamates and norarachidonyl carbamates and ureas
作者:Ng, E.W.; Aung, M.M.; Abood, M.E.; Martin, B.R.; Razdan, R.K.
来源:J Med Chem 1999,421975
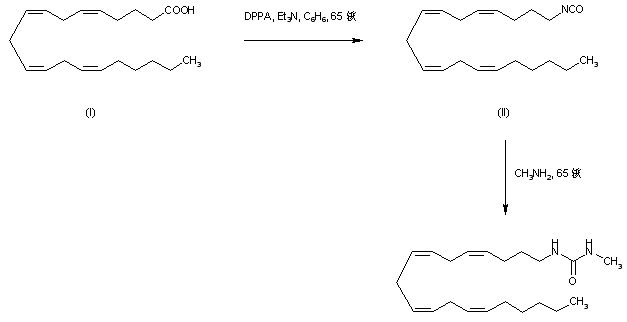
合成路线图解说明:

Curtius rearrangement of arachidonic acid (I) in the presence of diphenyl phosphoryl azide in hot benzene gave isocyanate (II), which was coupled with methylamine to yield the title urea.

合成路线图解说明:

Curtius rearrangement of arachidonic acid (I) in the presence of diphenyl phosphoryl azide in hot benzene gave isocyanate (II), which was coupled with 2-fluoroethylamine (III) to yield the title urea.

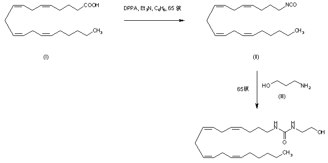
合成路线图解说明:

Curtius rearrangement of arachidonic acid (I) in the presence of diphenyl phosphoryl azide in hot benzene gave isocyanate (II), which was coupled with ethanolamine (III) to yield the title urea.

Drug Information Express,Drug R&D,Chemical Database,Patent Search.
Copyright © 2006-2026 Drug Future. All rights reserved.Contact Us