【药物名称】
化学结构式(Chemical Structure):
参考文献No.543389
标题:1,2,5-Oxadiazole N-oxide derivatives and related compounds as potential antitrypanosomal drugs: Structure-activity relationships
作者:Cerecetto, H.; Di Maio, R.; Gonz醠ez, M.; Risso, M.; Saenz, P.; Seoane, G.; Denicola, A.; Peluffo, G.; Quijano, C.; Olea-Azar, C.
来源:J Med Chem 1999,42(11),1941
合成路线图解说明:

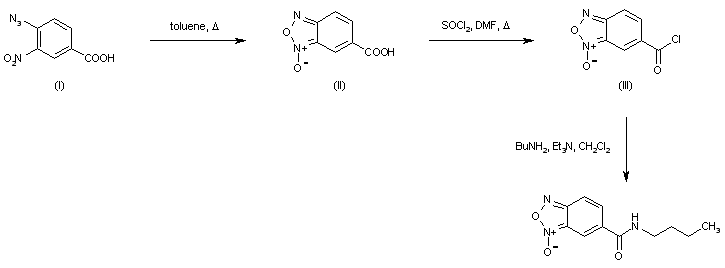
Cyclocondensation of 4-azido-3-nitrobenzoic acid (I) in boiling toluene yielded the benzoxadiazol system (II). Subsequent treatment with thionyl chloride gave acid chloride (III), which was finally condensed with n-butylamine to furnish the corresponding amide.

Drug Information Express,Drug R&D,Chemical Database,Patent Search.
Copyright © 2006-2026 Drug Future. All rights reserved.Contact Us