【药物名称】
化学结构式(Chemical Structure):
参考文献No.538857
标题:Isoxazolo-[3,4-d]-pyridazin-7-(6H)-one as a potential substrate for new aldose reductase inhibitors
作者:Costantino, L.; Rastelli, G.; Gamberini, M.C.; Giovannoni, M.P.; Dal Piaz, V.; Vianello, P.; Barlocco, D.
来源:J Med Chem 1999,42(11),1894
合成路线图解说明:

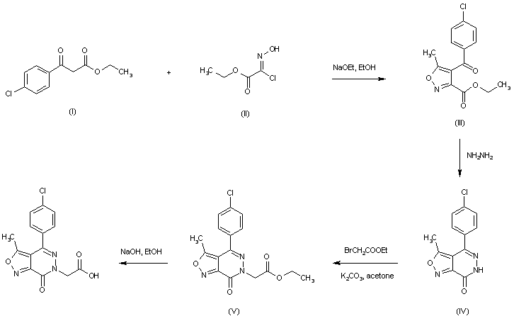
Condensation of ketoester (I) with ethyl chloro(hydroxymino)acetate (II) provided isoxazole (III), which was cyclized to isoxazolopyridazine (IV) using hydrazine. Alkylation of (II) with ethyl bromoacetate gave ester (V), which was finally hydrolyzed with NaOH to afford the title carboxylic acid.

参考文献No.800077
标题:5-Acyl-6-aryl-4-nitro-3(2H)pyridazinones and related 4-amino compounds: Synthesis and pharmacological evaluation
作者:Ciciani, G.; et al.
来源:J Pharm Sci 1991,80(4),341-348
合成路线图解说明:

Condensation of ketoester (I) with ethyl chloro(hydroxymino)acetate (II) provided isoxazole (III), which was cyclized to isoxazolopyridazine (IV) using hydrazine. Alkylation of (II) with ethyl bromoacetate gave ester (V), which was finally hydrolyzed with NaOH to afford the title carboxylic acid.

Drug Information Express,Drug R&D,Chemical Database,Patent Search.
Copyright © 2006-2026 Drug Future. All rights reserved.Contact Us