【药物名称】AM-251, 4'-I-SR-141716A
化学结构式(Chemical Structure):
参考文献No.538142
标题:Structure-activity relationships of pyrazole derivatives as cannabinoid receptor antagonists
作者:Lan, R.; Liu, Q.; Fan, P.; Lin, S.; Fernando, S.R.; McCallion, D.; Pertwee, R.; Makriyannis, A.
来源:J Med Chem 1999,42(4),769
合成路线图解说明:

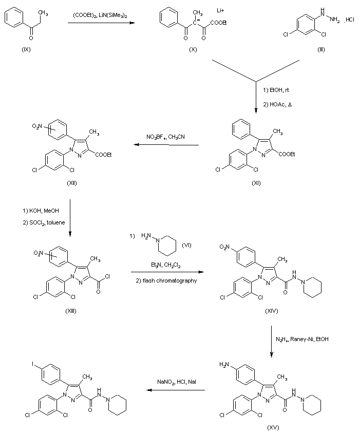
Propiophenone (IX) was condensed with diethyl oxalate to give diketone (X). Reaction with hydrazine (III) afforded pyrazole (XI). Nitration of (XI) by nitronium tetrafluoborate in acetonitrile gave a mixture of para- and ortho-nitrated compounds (XIIa-b), which were used without separation. Ester hydrolysis, followed by chlorination to (XIIIa-b) and condensation with 1-aminopiperidine (VI) gave the corresponding mixture of para- and ortho-nitro amides, which were separated by flash chromatography. The required para-isomer (XIV) was reduced by hydrazine and Raney Nickel to aniline (XV). This was finally converted to the title iodide via the reaction of the diazonium salt with NaI.

参考文献No.542777
标题:Preparation of iodine-123 labeled AM251: A potential SPECT radioligand for the brain cannabinoid CB1 receptor
作者:Lan, R.; et al.
来源:J Label Compd Radiopharm 1996,38(10),875
合成路线图解说明:

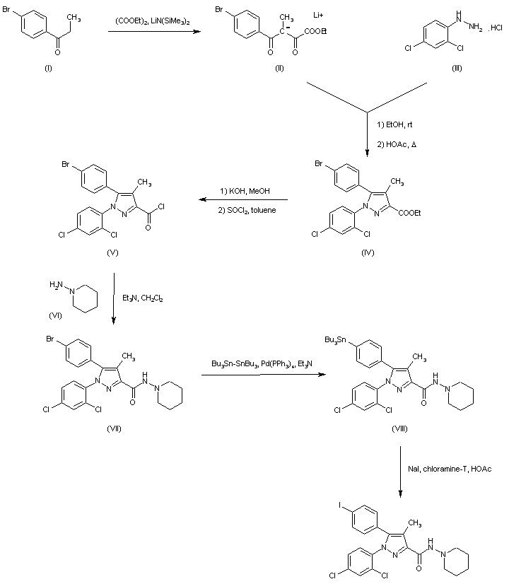
Claisen condensation of 4'-bromopropiophenone (I) with diethyl oxalate using lithium bis(trimethylsilyl)amide provided the lithium salt of diketone (II). Subsequent condensation of (III) with 2,4-dichlorophenyl hydrazine (III), followed by cyclization of the intermediate hydrazone in refluxing AcOH yielded the desired pyrazole (IV). After hydrolysis of the ester group of (IV), the resulting carboxylic acid was converted to acid chloride (V) by treatment with SOCl2. Coupling of (V) with 1-aminopiperidine (VI) gave amide (VII). Conversion of (VII) to the tributyl-stannyl derivative (VIII) was achieved by reaction with hexabutylditin in the presence of catalytic tetrakis(triphenylphosphine)palladium. The desired iodo compound was then obtained by treatment of (VIII) with NaI and chloramine-T.

Drug Information Express,Drug R&D,Chemical Database,Patent Search.
Copyright © 2006-2026 Drug Future. All rights reserved.Contact Us