【药物名称】
化学结构式(Chemical Structure):
参考文献No.538139
标题:Aminopyridazines as acetylcholinesterase inhibitors
作者:Contreras, J.M.; Rival, Y.M.; Chayer, S.; Bourguignon, J.J.; Wermuth, C.G.
来源:J Med Chem 1999,42(4),730
合成路线图解说明:

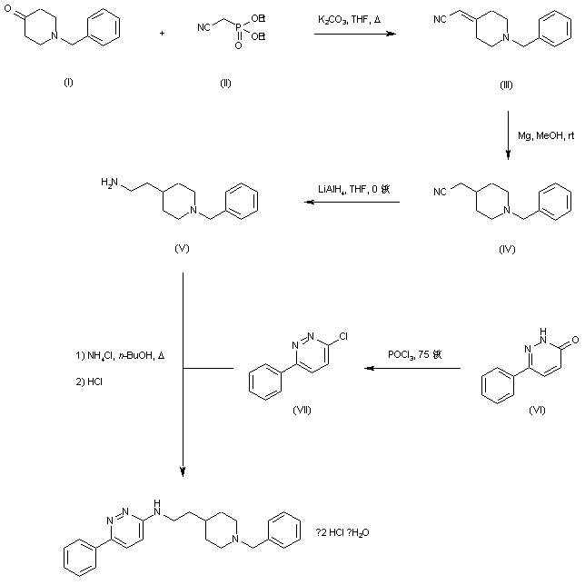
Horner-Emmons reaction of 1-benzyl-4-piperidone (I) with diethyl cyanomethylphosphonate (II) in the presence of K2CO3 provided the piperidinilydeneacetonitrile (III). Reduction of the double bond of (III) with magnesium in MeOH yielded the saturated nitrile (IV), which was further reduced to amine (V) using LiAlH4. Treatment of 6-phenyl-3-pyridazinone (VI) with POCl3 gave the chloropyridazine (VII). This was coupled with diamine (V) in the presence of ammonium chloride in refluxing butanol to furnish the title pyridazinamine, which was finally converted to the dihydrochloride salt.

Drug Information Express,Drug R&D,Chemical Database,Patent Search.
Copyright © 2006-2026 Drug Future. All rights reserved.Contact Us