【药物名称】
化学结构式(Chemical Structure):
参考文献No.538138
标题:Phosphotyrosine-containing dipeptides as high-affinity ligands for the p56lck SH2 domain
作者:Llin鄐-Brunet, M.; Beaulieu, P.L.; Cameron, D.R.; Ferland, J.M.; Gauthier, J.; Ghiro, E.; Gillard, J.; Gorys, V.; Poirier, M.; Rancourt, J.; Wernic, D.; Betageri, R.; Cardozo, M.; Jakes, S.; Lukas, S.; Patel, U.; Proudfoot, J.; Moss, N.
来源:J Med Chem 1999,42(4),722
合成路线图解说明:

Reaction of N-acetyl-L-tyrosine (I) with tert-butyldimethylsilyl chloride and N-methylmorpholine (NMM), followed by phosphitylation with dibenzyldiisopropylamine phosphoramidite produced the intermediate phosphite ester (II), which was oxidized to phosphate (III) using tert-butyl hydroperoxide. Subsequent coupling of (III) with protected glutamic acid (IV) in the presence of DCC and HOBt afforded dipeptide (V). Deprotection of the allyl ester of (V) by means of Pd(PPh3)4 and pyrrolidine provided acid (VI). After conversion of (VI) to the corresponding mixed anhydride with isobutyl chloroformate, condensation with 4-methoxybenzyl amine (VII) yielded amide (VIII). Finally, the benzyl ester groups were eliminated by catalytic hydrogenation over Pd/C (1).

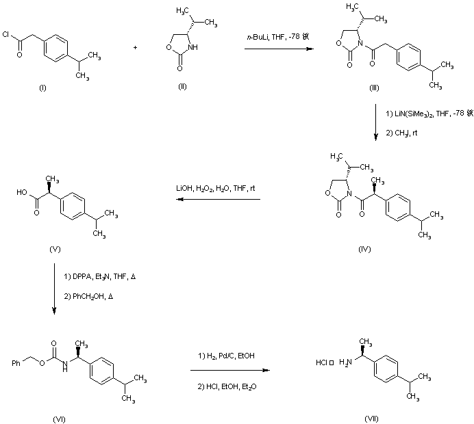
合成路线图解说明:

The intermediate (S)-1-(4-isopropylphenyl)ethylamine (VII) was prepared as shown in Scheme 1. Condensation of (4-isopropylphenyl)acetyl chloride (I) with the lithium salt of (S)-4-isopropyl-2-oxazolidinone (II) produced the chiral N-acyl oxazolidinone (III). Diastereoselective alkylation of (III) with MeI in the presence of lithium hexamethyldisilazide provided (IV). Removal of the chiral auxiliary of (IV) was accomplished by treatment with lithium hydroperoxide to afford the (S)-arylpropionic acid (V). Subsequent Curtius rearrangement of (V) using diphenyl phosphoryl azide, followed by treatment of the intermediate isocyanate with benzyl alcohol, furnished the benzyl carbamate (VI). Then, catalytic hydrogenation of (VI) over Pd/C yielded the target amine (VII).

合成路线图解说明:

Reaction of N-acetyl-L-tyrosine (VIII) with tert-butyldimethylsilyl chloride and N-methylmorpholine (NMM), followed by phosphitylation with dibenzyldiisopropylamine phosphoramidite produced the intermediate phosphite ester (IX), which was oxidized to phosphate (X) using tert-butyl hydroperoxide. Subsequent coupling of (X) with protected leucine (XI) in the presence of DCC and HOBt afforded dipeptide (XII). Deprotection of the allyl ester of (XII) by means of Pd(PPh3)4 and pyrrolidine provided acid (XIII). After conversion of (XIII) to the corresponding mixed anhydride with isobutyl chloroformate, condensation with the chiral amine (VII) yielded amide (XIV). Finally, the benzyl ester groups of (XIV) were eliminated by catalytic hydrogenation over Pd/C.

Drug Information Express,Drug R&D,Chemical Database,Patent Search.
Copyright © 2006-2026 Drug Future. All rights reserved.Contact Us