【药物名称】
化学结构式(Chemical Structure):
参考文献No.538397
标题:Methionyl adenylate analogues as inhibitors of methionyl-tRNA synthetase
作者:Lee, J.; Kang, S.U.; Kang, M.K.; Chun, M.W.; Jo, Y.J.; Kwak, J.H.; Kim, S.
来源:Bioorg Med Chem Lett 1999,9(10),1365
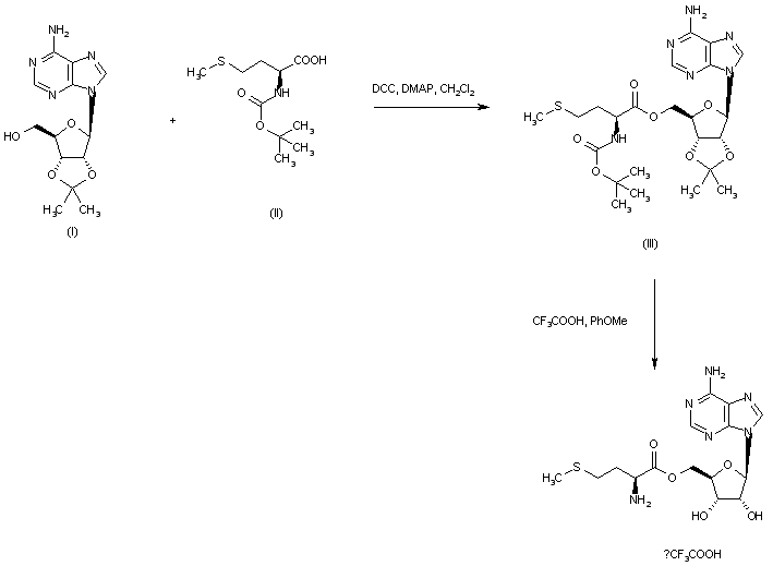
合成路线图解说明:

Coupling of 2',3'-isopropylideneadenosine (I) with N-Boc-methionine (II) by means of DCC provided ester (III). Subsequent deprotection of (III) under acidic conditions yielded the title compound.

合成路线图解说明:

The condensation between N-Boc-methionine (I) and O-(4-methoxybenzyl)hydroxylamine hydrochloride (II) gave the hydroxamate (III), which was then coupled with 2',3'-isopropylideneadenosine (IV) under Mitsunobu conditions to provide adduct (V). Subsequent deprotection with trifluoroacetic acid and anisole yielded the title compound.

Drug Information Express,Drug R&D,Chemical Database,Patent Search.
Copyright © 2006-2025 Drug Future. All rights reserved.Contact Us