【药物名称】
化学结构式(Chemical Structure):
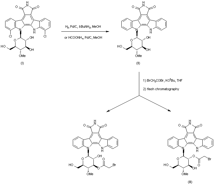
参考文献No.538131
标题:Syntheses and biological activities of rebeccamycin analogues. Introduction of a halogenoacetyl substituent
作者:Moreau, P.; Anizon, F.; Sancelme, M.; Prudhomme, M.; Bailly, C.; Severe, D.; Riou, J.F.; Fabbro, D.; Meyer, T.; Aubertin, A.M.
来源:J Med Chem 1998,41(10),1631-40
合成路线图解说明:

Dechlorinated rebeccamycin (II) was obtained by hydrogenolysis of rebeccamycin (I). Condensation of (II) with bromoacetyl bromide in the presence of potassium tert-butoxide in THF afforded a mixture of the title 3'-O-acylated compound (III) and the 2'-regioisomer (IV), which were separated by means of flash chromatography.

参考文献No.800269
标题:Syntheses and biological evaluation of indolocarbazoles, analogues of rebeccamycin, modified at the imide heterocycle
作者:Anizon, F.; Moreau, P.; Bailly, C.; Meyer, T.; Prudhomme, M.; Riou, J.F.; Sancelme, M.; Carrasco, C.; Aubertin, A.M.; Ollier, M.; Fabbro, D.; Severe, D.
来源:J Med Chem 1998,41(10),1631-40
合成路线图解说明:

Dechlorinated rebeccamycin (II) was obtained by hydrogenolysis of rebeccamycin (I). Condensation of (II) with bromoacetyl bromide in the presence of potassium tert-butoxide in THF afforded a mixture of the title 3'-O-acylated compound (III) and the 2'-regioisomer (IV), which were separated by means of flash chromatography.

Drug Information Express,Drug R&D,Chemical Database,Patent Search.
Copyright © 2006-2026 Drug Future. All rights reserved.Contact Us