The fully protection of Nomega-(benzyloxycarbonyl)-L-ornithine (I) by usual methods gives Nomega-(benzyloxycarbonyl)-Nalpha-(tert-butoxycarbonyl)-L-ornithine tert-butyl ester (II), which is selectively deprotected at the omega amino group with H2 over Pd/C yielding the ornithine (III). The reaction of (III) with thiophosgene affords the isothiocyanate (IV), which is treated with hydrazine to afford the aminothiourea (V). Finally, this compound is deprotected with 4M HCl.
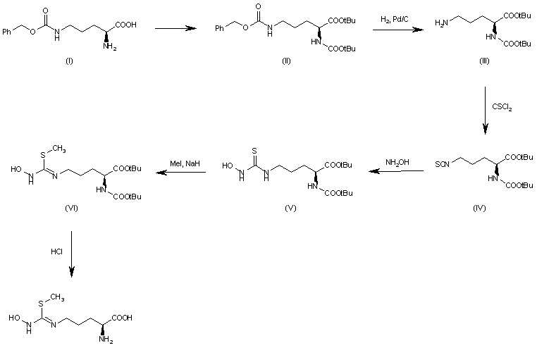
The fully protection of Nomega-(benzyloxycarbonyl)-L-ornithine (I) by usual methods gives Nomega-(benzyloxycarbonyl)-Nalpha-(tert-butoxycarbonyl)-L-ornithine tert-butyl ester (II), which is selectively deprotected at the omega amino group with H2 over Pd/C yielding the ornithine (III). The reaction of (III) with thiophosgene affords the isothiocyanate (IV), which is treated with hydroxylamine to afford the hydroxythiourea (V). The methylation of (V) with methyl iodide and NaH affords the S-methyl derivative (VI), which is finally deprotected with 4M HCl.
The fully protection of Nomega-(benzyloxycarbonyl)-L-ornithine (I) by usual methods gives Nomega-(benzyloxycarbonyl)-Nalpha-(tert-butoxycarbonyl)-L-ornithine tert-butyl ester (II), which is selectively deprotected at the omega amino group with H2 over Pd/C yielding the ornithine (III). The reaction of (III) with thiophosgene affords the isothiocyanate (IV), which is treated with hydrazine to afford the aminothiourea (V). The methylation of (V) with methyl iodide and NaH affords the S-methyl derivative (VI), which is finally deprotected with 4M HCl.