【药物名称】
化学结构式(Chemical Structure):
参考文献No.226201
标题:Design and synthesis of cosalane, a novel anti-HIV agent
作者:Bader, J.P.; Cushman, M.; Golebiewski, W.M.
来源:Bioorg Med Chem Lett 1993,3(8),1739
合成路线图解说明:

The reaction of 3-bromopropanol (I) with TBDMS-Cl, DIEA and DMAP in dichloromethane gives the silyl ether (II), which is treated with PPh3 in refluxing acetonitrile yielding the phosphonium salt (III). The Wittig reaction of (III) with 3-cholestanone (IV) by means of BuLi in DME affords 3-[3-(tert-butyldimethylsilyloxy)propylidene]cholestane (V), which is reduced with H2 over PtO2 in ethyl acetate giving 3beta-[3-(tert-butyldimethylsilyloxy)propyl]cholestane (VI). The reaction of (VI) with TBAF in THF gives the 3-hydroxypropyl derivative (VII), which is treated with CBr4 and PPh3 in dichloromethane yielding the 3-bromopropyl derivative (VIII). The reaction of (VIII) with PPh3 in refluxing chlorobenzene affords the phosphonium salt (IX), which is submitted to a Wittig condensation with 5,5'-carbonylbis(3-chloro-2-methoxybenzoic acid methyl ester) (X) by means of NaN(SiMe3)2 in THF giving the expected condensation intermediate (XI). The intermediate 5,5'-carbonylbis(3-chloro-2-methoxybenzoic acid methyl ester) (X) has been obtained as follows: The dimerization of 3-chloro-2-hydroxybenzoic acid (XII) with H2CO and H2SO4 in methanol gives 5,5'-methylenebis(3-chloro-2-hydroxybenzoic acid) (XIII), which is fully methylated with SO4Me2 or CO3Me2 and K2CO3 yielding 5,5'-methylenebis(3-chloro-2-methoxybenzoic acid methyl ester) (XIV). Finally, this compound is oxidized with CrO3 in acetic anhydride to afford the desired intermediate (X).

合成路线图解说明:

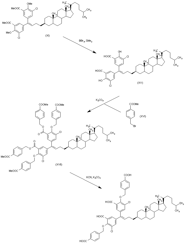
The demethylation of intermediate (XI) with BBr3 and SMe2 in hot 1,2-dichloroethane gives the phenolic intermediate (cosalane, XV), which is simultaneously alkylated and esterified with 4-(bromomethyl)benzoic acid methyl ester (XVI) by means of K2CO3 in DMF yielding the tetrabenzylated intermediate (XVII). The final hydrolysis of the benzyl ester and methyl ester groups with KCN and K2CO3 in hot ethanol/water affords the target compound.

合成路线图解说明:

The reaction of 3-bromopropanol (I) with TBDMS-Cl, DIEA and DMAP in dichloromethane gives the silyl ether (II), which is treated with PPh3 in refluxing acetonitrile yielding the phosphonium salt (III). The Wittig reaction of (III) with 3-cholestanone (IV) by means of BuLi in DME affords 3-[3-(tert-butyldimethylsilyloxy)propylidene]cholestane (V), which is reduced with H2 over PtO2 in ethyl acetate giving 3beta-[3-(tert-butyldimethylsilyloxy)propyl]cholestane (VI). The reaction of (VI) with TBAF in THF gives the 3-hydroxypropyl derivative (VII), which is treated with CBr4 and PPh3 in dichloromethane yielding the 3-bromopropyl derivative (VIII). The reaction of (VIII) with PPh3 in refluxing chlorobenzene affords the phosphonium salt (IX), which is submitted to a Wittig condensation with 5,5'-carbonylbis(3-chloro-2-methoxybenzoic acid methyl ester) (X) by means of NaN(SiMe3)2 in THF giving the expected condensation intermediate (XI). The intermediate 5,5'-carbonylbis(3-chloro-2-methoxybenzoic acid methyl ester) (X) has been obtained as follows: The dimerization of 3-chloro-2-hydroxybenzoic acid (XII) with H2CO and H2SO4 in methanol gives 5,5'-methylenebis(3-chloro-2-hydroxybenzoic acid) (XIII), which is fully methylated with SO4Me2 or CO3Me2 and K2CO3 yielding 5,5'-methylenebis(3-chloro-2-methoxy-benzoic acid methyl ester) (XIV). Finally, this compound is oxidized with CrO3 in acetic anhydride to afford the desired intermediate (X).

合成路线图解说明:

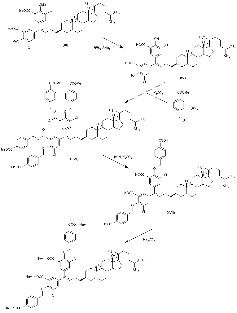
The demethylation of intermediate (XI) with BBr3 and SMe2 in hot 1,2-dichloroethane gives the phenolic intermediate (cosalane, XV), which is simultaneously alkylated and esterified with 4-(bromomethyl)benzoic acid methyl ester (XVI) by means of K2CO3 in DMF yielding the tetrabenzylated intermediate (XVII). The hydrolysis of the benzyl ester and methyl ester groups with KCN and K2CO3 in hot ethanol/water affords the intermediate tetracarboxylic acid (XVIII), which is finally converted into the target sodium salt by reaction with Na2CO3 in methanol or ethanol.

参考文献No.272803
标题:Design, synthesis, and biological evaluation of cosalane, a novel anti-HIV agent which inhibits multiple features of virus reproduction
作者:Cushman, M.; Golebiewski, W.M.; McMahon, J.B.; Buckheit, R.W.Jr.; Clanton, D.J.; Weislow, O.; Haugwitz, R.D.; Bader, J.P.; Graham, L.; Rice, W.G.
来源:J Med Chem 1994,37(19),3040
合成路线图解说明:

The reaction of 3-bromopropanol (I) with TBDMS-Cl, DIEA and DMAP in dichloromethane gives the silyl ether (II), which is treated with PPh3 in refluxing acetonitrile yielding the phosphonium salt (III). The Wittig reaction of (III) with 3-cholestanone (IV) by means of BuLi in DME affords 3-[3-(tert-butyldimethylsilyloxy)propylidene]cholestane (V), which is reduced with H2 over PtO2 in ethyl acetate giving 3beta-[3-(tert-butyldimethylsilyloxy)propyl]cholestane (VI). The reaction of (VI) with TBAF in THF gives the 3-hydroxypropyl derivative (VII), which is treated with CBr4 and PPh3 in dichloromethane yielding the 3-bromopropyl derivative (VIII). The reaction of (VIII) with PPh3 in refluxing chlorobenzene affords the phosphonium salt (IX), which is submitted to a Wittig condensation with 5,5'-carbonylbis(3-chloro-2-methoxybenzoic acid methyl ester) (X) by means of NaN(SiMe3)2 in THF giving the expected condensation intermediate (XI). The intermediate 5,5'-carbonylbis(3-chloro-2-methoxybenzoic acid methyl ester) (X) has been obtained as follows: The dimerization of 3-chloro-2-hydroxybenzoic acid (XII) with H2CO and H2SO4 in methanol gives 5,5'-methylenebis(3-chloro-2-hydroxybenzoic acid) (XIII), which is fully methylated with SO4Me2 or CO3Me2 and K2CO3 yielding 5,5'-methylenebis(3-chloro-2-methoxybenzoic acid methyl ester) (XIV). Finally, this compound is oxidized with CrO3 in acetic anhydride to afford the desired intermediate (X).

合成路线图解说明:

The demethylation of intermediate (XI) with BBr3 and SMe2 in hot 1,2-dichloroethane gives the phenolic intermediate (cosalane, XV), which is simultaneously alkylated and esterified with 4-(bromomethyl)benzoic acid methyl ester (XVI) by means of K2CO3 in DMF yielding the tetrabenzylated intermediate (XVII). The final hydrolysis of the benzyl ester and methyl ester groups with KCN and K2CO3 in hot ethanol/water affords the target compound.

合成路线图解说明:

The reaction of 3-bromopropanol (I) with TBDMS-Cl, DIEA and DMAP in dichloromethane gives the silyl ether (II), which is treated with PPh3 in refluxing acetonitrile yielding the phosphonium salt (III). The Wittig reaction of (III) with 3-cholestanone (IV) by means of BuLi in DME affords 3-[3-(tert-butyldimethylsilyloxy)propylidene]cholestane (V), which is reduced with H2 over PtO2 in ethyl acetate giving 3beta-[3-(tert-butyldimethylsilyloxy)propyl]cholestane (VI). The reaction of (VI) with TBAF in THF gives the 3-hydroxypropyl derivative (VII), which is treated with CBr4 and PPh3 in dichloromethane yielding the 3-bromopropyl derivative (VIII). The reaction of (VIII) with PPh3 in refluxing chlorobenzene affords the phosphonium salt (IX), which is submitted to a Wittig condensation with 5,5'-carbonylbis(3-chloro-2-methoxybenzoic acid methyl ester) (X) by means of NaN(SiMe3)2 in THF giving the expected condensation intermediate (XI). The intermediate 5,5'-carbonylbis(3-chloro-2-methoxybenzoic acid methyl ester) (X) has been obtained as follows: The dimerization of 3-chloro-2-hydroxybenzoic acid (XII) with H2CO and H2SO4 in methanol gives 5,5'-methylenebis(3-chloro-2-hydroxybenzoic acid) (XIII), which is fully methylated with SO4Me2 or CO3Me2 and K2CO3 yielding 5,5'-methylenebis(3-chloro-2-methoxy-benzoic acid methyl ester) (XIV). Finally, this compound is oxidized with CrO3 in acetic anhydride to afford the desired intermediate (X).

合成路线图解说明:

The demethylation of intermediate (XI) with BBr3 and SMe2 in hot 1,2-dichloroethane gives the phenolic intermediate (cosalane, XV), which is simultaneously alkylated and esterified with 4-(bromomethyl)benzoic acid methyl ester (XVI) by means of K2CO3 in DMF yielding the tetrabenzylated intermediate (XVII). The hydrolysis of the benzyl ester and methyl ester groups with KCN and K2CO3 in hot ethanol/water affords the intermediate tetracarboxylic acid (XVIII), which is finally converted into the target sodium salt by reaction with Na2CO3 in methanol or ethanol.

参考文献No.538849
标题:Extension of the polyanionic cosalane pharmacophore as a strategy for increasing anti-HIV potency
作者:Cushman, M.; Insaf, S.; Paul, G.; Ruell, J.A.; De Clercq, E.; Schols, D.; Pannecouque, C.; Witvrouw, M.; Schaeffer, C.A.; Turpin, J.A.; Williamson, K.; Rice, W.G.
来源:J Med Chem 1999,42(10),1767
合成路线图解说明:

Title compound was obtained by condensation of the 6-aminoquinazoline (I) with acrylic acid in the presence of EDC.

合成路线图解说明:

The demethylation of intermediate (XI) with BBr3 and SMe2 in hot 1,2-dichloroethane gives the phenolic intermediate (cosalane, XV), which is simultaneously alkylated and esterified with 4-(bromomethyl)benzoic acid methyl ester (XVI) by means of K2CO3 in DMF yielding the tetrabenzylated intermediate (XVII). The final hydrolysis of the benzyl ester and methyl ester groups with KCN and K2CO3 in hot ethanol/water affords the target compound.

合成路线图解说明:

The demethylation of intermediate (XI) with BBr3 and SMe2 in hot 1,2-dichloroethane gives the phenolic intermediate (cosalane, XV), which is simultaneously alkylated and esterified with 4-(bromomethyl)benzoic acid methyl ester (XVI) by means of K2CO3 in DMF yielding the tetrabenzylated intermediate (XVII). The hydrolysis of the benzyl ester and methyl ester groups with KCN and K2CO3 in hot ethanol/water affords the intermediate tetracarboxylic acid (XVIII), which is finally converted into the target sodium salt by reaction with Na2CO3 in methanol or ethanol.

Drug Information Express,Drug R&D,Chemical Database,Patent Search.
Copyright © 2006-2026 Drug Future. All rights reserved.Contact Us