【药物名称】
化学结构式(Chemical Structure):
参考文献No.538399
标题:Short synthesis and anti-rhinoviral activity of imidazo[1,2-a]pyridines: The effect of acyl groups at 3-position
作者:Hamdouchi, C.; Ezquerra, J.; Vega, J.A.; Vaquero, J.J.; Alvarez-Builla, J.; Heinz, B.A.
来源:Bioorg Med Chem Lett 1999,9(10),1391
合成路线图解说明:

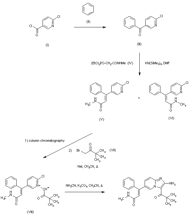
Ketone (III) was prepared by Friedel-Crafts acylation of benzene (II) with 6-chloronicotinyl chloride (I). Horner-Emmons reaction of (III) with diethyl (N-methylcarbamoylmethyl)phosphonate (IV) using potassium hexamethyl-disilazide produced a 3:1 mixture of E (V) and Z olefins (VI). The desired E isomer (V) was isolated by column chromatography and then treated with bromoketone (VII) to afford the betaine (VIII). Finally, the target imidazopyridine was obtained by condensation of (VIII) with cyanamide in the presence of K2CO3.

Drug Information Express,Drug R&D,Chemical Database,Patent Search.
Copyright © 2006-2026 Drug Future. All rights reserved.Contact Us