【药物名称】LB-50053
化学结构式(Chemical Structure):
参考文献No.540009
标题:N-Substituted-3-arylpyrrolidines: Potent and selective ligands at serotonin 1A receptor
作者:Ahn, K.H.; Lee, S.J.; Lee, C.H.; Hong, C.Y.; Park, T.K.
来源:Bioorg Med Chem Lett 1999,9(10),1379
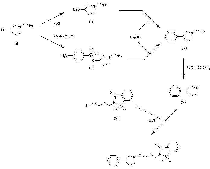
合成路线图解说明:

The sulfonylation of 1-benzylpyrrolidin-3-ol by means of mesyl or tosyl chlorides gives the corresponding sulfonates (II) or (III), which are condensed with the diphenyl cuprate lithium yielding 1-benzyl-3-phenylpyrrolidine (IV). The debenzylation of (IV) with ammonium formate over Pd/C in methanol affords 3-phenylpyrrolidine (V), which is finally condensed with 2-(4-bromobutyl)-1,2-benzoisothiazol-3-one S,S-dioxide (VI) by means of triethylamine in acetonitrile.

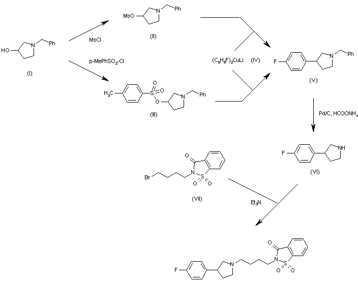
合成路线图解说明:

The sulfonylation of 1-benzylpyrrolidin-3-ol by means of mesyl or tosyl chlorides gives the corresponding sulfonates (II) or (III), which are condensed with the bis(4-fluorophenyl)cuprate lithium (IV) yielding 1-benzyl-3-(4-fluorophenyl) pyrrolidine (V). The debenzylation of (V) with ammonium formate over Pd/C in methanol affords 3-(4-fluorophenyl)pyrrolidine (VI), which is finally condensed with 2-(4-bromobutyl)-1,2-benzoisothiazol-3-one S,S-dioxide (VII) by means of triethylamine in acetonitrile.

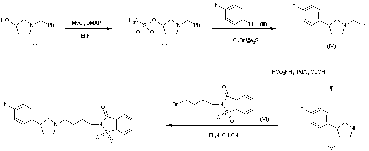
合成路线图解说明:

Treatment of 1-benzyl-3-hydroxypyrrolidine (I) with methanesulfonyl chloride in the presence of DMAP and Et3N affords mesylate (II). Subsequent displacement of the mesylate group of (II) with the diarylcuprate reagent generated from 4-fluorophenyllithium (III) and cuprous bromide gives the 3-aryl pyrrolidine (IV). The N-benzyl group of (IV) is then removed by transfer hydrogenolysis with ammonium formate and Pd/C, yielding the secondary amine (V). This is finally alkylated with 2-(4-bromobutyl)-3-oxo-1,2-benzisothiazole 1,1-dioxide (VI) in the presence of Et3N in refluxing acetonitrile.

Drug Information Express,Drug R&D,Chemical Database,Patent Search.
Copyright © 2006-2026 Drug Future. All rights reserved.Contact Us