【药物名称】
化学结构式(Chemical Structure):
参考文献No.539022
标题:A highly stereoselective synthesis of plaunotol and its thiourea derivatives as potent antibacterial agents against Helicobacter pylori
作者:Kogen, H.; Tago, K.; Arai, M.; Minami, E.; Masuda, K.; Akiyama, T.
来源:Bioorg Med Chem Lett 1999,9(10),1347
合成路线图解说明:

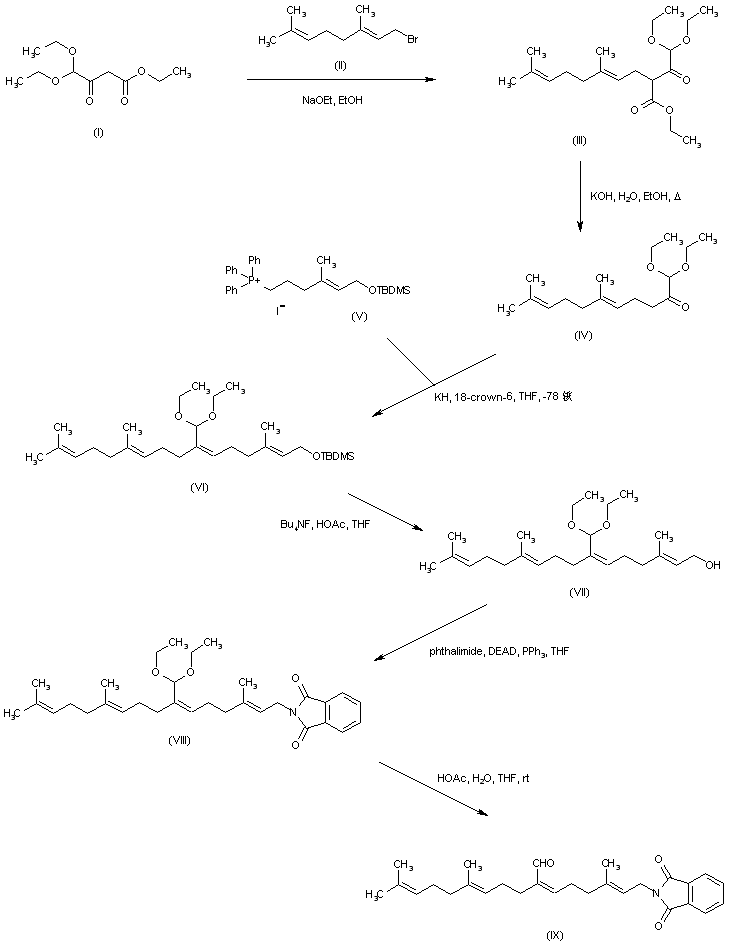
The alkylation of ethyl 4,4-diethoxyacetoacetate (I) with geranyl bromide (II) gave ketoester (III), which was further decarbethoxylated upon treatment with KOH in refluxing H2O - EtOH yielding (IV). Wittig condensation of the resulting alpha-acetal ketone (IV) with phosphonium salt (V) in the presence of KH and crown ether provided the Z olefin (VI) as the major isomer. Deprotection of the silyl ether of (VI) with tetrabutylammonium fluoride gave alcohol (VII), which was coupled with phthalimide under Mitsunobu conditions to yield (VIII). Hydrolysis of the acetal group of (VIII) with aqueous AcOH gave aldehyde (IX).

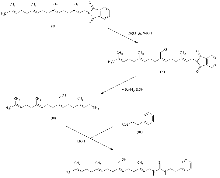
合成路线图解说明:

Then, selective reduction of the aldehyde by treatment with zinc borohydride produced alcohol (X). Deprotection of the phthalimide group of (X) with butylamine gave primary amine (XI). This was finally converted to the target thiourea by treatment with phenethyl isocyanate (XII) in EtOH.

Drug Information Express,Drug R&D,Chemical Database,Patent Search.
Copyright © 2006-2026 Drug Future. All rights reserved.Contact Us