【药物名称】
化学结构式(Chemical Structure):
参考文献No.39511
标题:Trans-2,6-, 3,6- and 4,6-diaza-5,6,6a,7,8,12b-hexahydrobenzo[c]phenanthrene cpds. as dopamine agonists
作者:Michaelides, M.; Gu, Y.G.; Shiosaki, K. (Abbott Laboratories Inc.)
来源:US 5668141; WO 9736902
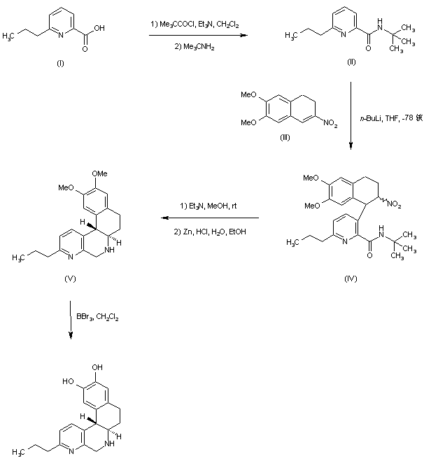
合成路线图解说明:

6-Propyl-2-pyridinecarboxylic acid (I) was activated as the mixed anhydride with pivaloyl chloride, and then condensed with tert-butylamine to afford amide (II). After treatment of (II) with butyllithium, the resulting dianion equilibrated to the trans isomer upon treatment with Et3N in MeOH. Reduction of (IV) with concomitant cyclization in the presence of Zn and HCl furnished the tetracyclic compound (V). Finally, cleavage of the methyl ethers of (V) using BBr3 yielded the was condensed with nitroolefin (III) to provide a cis/trans mixture of adducts (VI), which was target compound.

参考文献No.538369
标题:trans-2,6-, 3,6- and 4,6-diaza-5,6,6a,7,8,12b-hexahydro-benzo[c]phenanthrene-10,11-diols as dopamine agonists
作者:Gu, Y.G.; Bayburt, E.K.; Michaelides, M.R.; Lin, C.W.; Shiosaki, K.
来源:Bioorg Med Chem Lett 1999,9(10),1341
合成路线图解说明:

6-Propyl-2-pyridinecarboxylic acid (I) was activated as the mixed anhydride with pivaloyl chloride, and then condensed with tert-butylamine to afford amide (II). After treatment of (II) with butyllithium, the resulting dianion equilibrated to the trans isomer upon treatment with Et3N in MeOH. Reduction of (IV) with concomitant cyclization in the presence of Zn and HCl furnished the tetracyclic compound (V). Finally, cleavage of the methyl ethers of (V) using BBr3 yielded the was condensed with nitroolefin (III) to provide a cis/trans mixture of adducts (VI), which was target compound.

Drug Information Express,Drug R&D,Chemical Database,Patent Search.
Copyright © 2006-2026 Drug Future. All rights reserved.Contact Us