【药物名称】LR-172
化学结构式(Chemical Structure):
参考文献No.19434
标题:N-(Arylethyl)-N-alkyl-2-(1-pyrrolidinyl)ethylamine derivs. for CNS disorders
作者:De Costa, B.R.; Radesca, L.; Bowen, W.; Long, J.; Walker, J.M.; Rice, K.C.; Gray, N.M.; Contreras, P.C. (Pharmacia Corp.)
来源:EP 0518216; WO 9222279
合成路线图解说明:

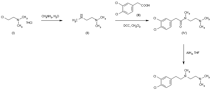
Condensation of 2-(dimethylamino)ethyl chloride hydrochloride (I) with methylamine gave trimethyl ethylenediamine (II), which was coupled with 3,4-dichlorophenylacetic acid (III) in the presence of DCC to afford amide (IV). Subsequent reduction of (IV) with aluminum hydride in THF provided the title diamine.

合成路线图解说明:

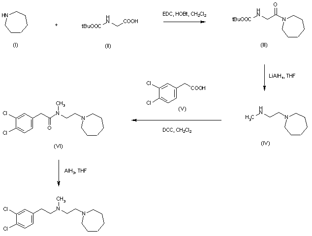
Hexahydroazepine (I) was coupled with N-Boc-glycine (II) by means of EDC and HOBt, and the resulting amide (III) was reduced with LiAlH4 to give diamine (IV). Subsequent coupling of (IV) with 3,4-dichlorophenylacetic acid (V) in the presence of DCC afforded amide (VI). Finally, reduction of (VI) with aluminum hydride in THF provided the title compound.

参考文献No.538920
标题:Synthesis, characterization, and biological evaluation of a novel class of N-(arylethyl)-N-alkyl-2-(1-pyrrolidinyl)ethylamines: Structural requirements and binding affinity at the sigma receptor
作者:de Costa, B.R.; Radesca, L..; Di Paolo, L.; Bowen, W.D.
来源:J Med Chem 1992,35(1),38
合成路线图解说明:

Condensation of 2-(dimethylamino)ethyl chloride hydrochloride (I) with methylamine gave trimethyl ethylenediamine (II), which was coupled with 3,4-dichlorophenylacetic acid (III) in the presence of DCC to afford amide (IV). Subsequent reduction of (IV) with aluminum hydride in THF provided the title diamine.

合成路线图解说明:

Hexahydroazepine (I) was coupled with N-Boc-glycine (II) by means of EDC and HOBt, and the resulting amide (III) was reduced with LiAlH4 to give diamine (IV). Subsequent coupling of (IV) with 3,4-dichlorophenylacetic acid (V) in the presence of DCC afforded amide (VI). Finally, reduction of (VI) with aluminum hydride in THF provided the title compound.

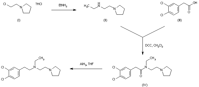
合成路线图解说明:

Diamine (II) was prepared by reaction of N-(2-chloroethyl)pyrrolidine hydrochloride (I) with ethylamine. Coupling of (II) with 3,4-dichlorophenylacetic acid (III) in the presence of DCC afforded amide (IV). The amide function of (IV) was finally reduced by means of aluminum hydride in THF to furnish the title diamine.

Drug Information Express,Drug R&D,Chemical Database,Patent Search.
Copyright © 2006-2026 Drug Future. All rights reserved.Contact Us