【药物名称】beta-L-2'-Fd4FC
化学结构式(Chemical Structure):
参考文献No.537456
标题:Synthesis and anti-HIV and anti-HBV activities of 2'-fluoro-2',3'-unsaturated L-nucleosides
作者:Lee, K.; Choi, Y.; Gullen, E.; Schlueter-Wirtz, S.; Schinazi, R.F.; Cheng, Y.C.; Chu, C.K.
来源:J Med Chem 1999,42(7),1320
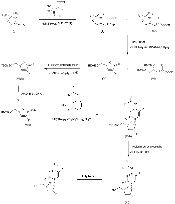
合成路线图解说明:

L-Glyceraldehyde acetonide (I) was subjected to Horner-Emmons reaction with triethyl alpha-fluorophosphonoacetate (II) in the presence of sodium bis(trimethylsilyl)amide to yield a mixture of Z (III) and E (IV) unsaturated esters. Acidic treatment of this mixture, followed by silylation with tert-butyldimethylsilyl chloride gave the desired fluorobutyrolactone (V) along with the open-chain silylated dihydroxyester (VI), which were separated by column chromatography. Reduction of lactone (V) with DIBAL provided an anomeric mixture of lactols (VIIa-b), which was further acetylated to afford (VIIIa-b). N-Glycosylation of the silylated N(4)-benzoylcytosine (IX) using trimethylsilyl triflate gave rise to the mixture of furanosylcytosines (Xa-b). After chromatographic isolation of the desired beta-anomer, deprotection of the silyl ether by means of tetrabutylammonium fluoride yielded (XI). Finally, ammonolysis of the N-benzoyl group of (XI) furnished the title compound.

Drug Information Express,Drug R&D,Chemical Database,Patent Search.
Copyright © 2006-2026 Drug Future. All rights reserved.Contact Us