【药物名称】
化学结构式(Chemical Structure):
参考文献No.537454
标题:Quinuclidine inhibitors of 2,3-oxidosqualene cyclase-lanosterol synthase: Optimization from lipid profiles
作者:Brown, G.R.; Hollinshead, D.M.; Stokes, E.S.; Clarke, D.S.; Eakin, M.A.; Foubister, A.J.; Glossop, S.C.; Griffiths, D.; Johnson, M.C.; McTaggart, F.; Mirrlees, D.J.; Smith, G,J.; Wood, R.
来源:J Med Chem 1999,42(7),1306
合成路线图解说明:

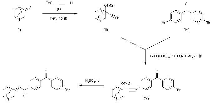
Addition of lithium trimethylsilylacetylide (II) to quinuclidin-3-one (I) in THF at -70 C afforded the O-silylated ethynyl quinuclidinol (III). Subsequent palladium-catalyzed coupling of (III) with 4,4'-dibromobenzophenone (IV) gave adduct (V). Finally, the Meyer-Schuster rearrangement of (V) in concentrated H2SO4 furnished the title unsaturated ketone.

Drug Information Express,Drug R&D,Chemical Database,Patent Search.
Copyright © 2006-2026 Drug Future. All rights reserved.Contact Us