【药物名称】
化学结构式(Chemical Structure):
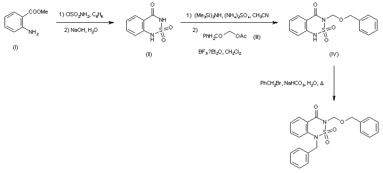
参考文献No.537441
标题:Novel potential agents for human cytomegalovirus infection: Synthesis and antiviral activity evaluation of benzothiadiazine dioxide acyclonucleosides
作者:Martinez, A.; Esteban, A.I.; Castro, A.; Gil, C.; Conde, S.; Andrei, G.; Snoeck, R.; Balzarini, J.; De Clercq, E.
来源:J Med Chem 1999,42(7),1145
合成路线图解说明:

Benzothiadiazine dioxide (II) was prepared by cyclization of methyl anthranylate (I) with sulfamoyl chloride, followed by aqueous NaOH. After silylation of (II) by means of hexamethyldisilazane, alkylation with benzyloxymethyl acetate (III) in the presence of boron trifluoride etherate produced the 3-(benzyloxymethyl)benzothiazine (IV). Further alkylation of (IV) with benzyl bromide in aqueous NaHCO3 furnished the title compound.

参考文献No.546117
标题:Benzothiadiazine dioxide acyclonucleosides as lead compounds for the development of new agents against human cytomegalovirus and varicella-zoster virus infection
作者:Esteban, A.I.; Martinez, A.; De Clercq, E.
来源:Bioorg Med Chem Lett 1997,7(8),1031
合成路线图解说明:

Benzothiadiazine dioxide (II) was prepared by cyclization of methyl anthranylate (I) with sulfamoyl chloride, followed by aqueous NaOH. After silylation of (II) by means of hexamethyldisilazane, alkylation with benzyloxymethyl acetate (III) in the presence of boron trifluoride etherate produced the 3-(benzyloxymethyl)benzothiazine (IV). Further alkylation of (IV) with benzyl bromide in aqueous NaHCO3 furnished the title compound.

Drug Information Express,Drug R&D,Chemical Database,Patent Search.
Copyright © 2006-2026 Drug Future. All rights reserved.Contact Us