【药物名称】AMG-126737
化学结构式(Chemical Structure):
参考文献No.39361
标题:Cpds. which inhibit tryptase activity
作者:Burgess, L.; Rizzi, J.P. (Array BioPharma, Inc.)
来源:WO 9924395
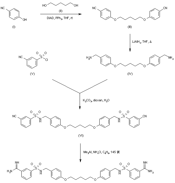
合成路线图解说明:

Mitsunobu coupling of 1,5-pentanediol (II) with two molecules of 4-hydroxybenzonitrile (I) in the presence of diisopropyl azodicarboxylate (DIAD) and triphenylphosphine afforded diether (III). Subsequent reduction of the nitrile groups of (III) using LiAlH4 gave the bis(benzylamine) derivative (IV), which was coupled with 3-cyanobenzenesulfonyl chloride (V) to provide sulfonamide (VI). The nitrile groups of (VI) were finally converted to the required bis amidino derivative by treatment with Weinreb reagent, prepared from trimethylaluminum and ammonium chloride.

Drug Information Express,Drug R&D,Chemical Database,Patent Search.
Copyright © 2006-2026 Drug Future. All rights reserved.Contact Us