【药物名称】Vardenafil hydrochloride hydrate, BAY-38-9456, Vivanza, Levitra
化学结构式(Chemical Structure):
参考文献No.39385
标题:2-Phenyl substd. imidazotriazinones as phosphodiesterase inhibitors
作者:Perzborn, E.; Keldenich, J.; Schlemmer, K.-H.; Haning, H.; Serno, P.; Bischoff, E.; El-Sayed, M.; Niew鰄ner, U.; Nowakowski, M.; Schenke, T.; Dembowsky, K. (Bayer AG)
来源:DE 19750085; DE 19812462; EP 1049695; WO 9924433
合成路线图解说明:

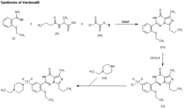
Cyclization of 2-ethoxybenzamidine (I) with 2-butyramidopropionic acid (II) and ethoxalyl chloride (III) by means of DMAP in refluxing pyridine gives 2-(2-ethoxyphenyl)-5-methyl-7-propyl-3,4-dihydroimidazo[5,1-f][1,2,4]triazin-4-one (IV), which is sulfonated with chlorosulfonic acid to provide the sulfonyl chloride (V). Finally, this compound is condensed with 1-ethylpiperazine (VI) in dichloromethane.

参考文献No.610068
标题:Vardenafil
作者:Casta馿r, J.; Mart韓, L.; Rabasseda, X.; Sorbera, L.A.
来源:Drugs Fut 2001,26(2),141
合成路线图解说明:

Cyclization of 2-ethoxybenzamidine (I) with 2-butyramidopropionic acid (II) and ethoxalyl chloride (III) by means of DMAP in refluxing pyridine gives 2-(2-ethoxyphenyl)-5-methyl-7-propyl-3,4-dihydroimidazo[5,1-f][1,2,4]triazin-4-one (IV), which is sulfonated with chlorosulfonic acid to provide the sulfonyl chloride (V). Finally, this compound is condensed with 1-ethylpiperazine (VI) in dichloromethane.

参考文献No.666197
标题:Imidazo[5,1-f][1,2,4]triazin-4(3H)-ones, a new class of potent PDE 5 inhibitors
作者:Haning, H.; Niew鰄ner, U.; Schenke, T.; Es-Sayed, M.; Schmidt, G.; Lampe, T.; Bischoff, E.
来源:Bioorg Med Chem Lett 2002,12(6),865
合成路线图解说明:

Cyclization of 2-ethoxybenzamidine (I) with 2-butyramidopropionic acid (II) and ethoxalyl chloride (III) by means of DMAP in refluxing pyridine gives 2-(2-ethoxyphenyl)-5-methyl-7-propyl-3,4-dihydroimidazo[5,1-f][1,2,4]triazin-4-one (IV), which is sulfonated with chlorosulfonic acid to provide the sulfonyl chloride (V). Finally, this compound is condensed with 1-ethylpiperazine (VI) in dichloromethane.

Drug Information Express,Drug R&D,Chemical Database,Patent Search.
Copyright © 2006-2026 Drug Future. All rights reserved.Contact Us