【药物名称】SKK-60060
化学结构式(Chemical Structure):
参考文献No.33381
标题:Sulfated and phosphated saccharide derivs., process for the preparation of the same and use thereof
作者:Usui, T.; Igami, T.; Kakigami, T.; Hamashima, H.; Jomori, T.; Tashita, A.; Ishiwatari, Y.; Yokochi, S.; Mitani, T.; Suzuki, Y.; Hasegawa, A. (Sanwa Kagaku Kenkyusho Co., Ltd.)
来源:EP 0771815; JP 1997183789; US 5869460
合成路线图解说明:

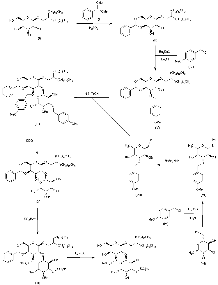
Treatment of 2-(tetradecyl)hexadecyl beta-D-galactopyranoside (I) with benzaldehyde dimethyl acetal (II) in THF containing H2SO4 provides 4,6-O-benzylidene derivative (III), which is then subjected to 3-O-4-methoxybenzylation by reaction with 4-methoxybenzyl chloride (IV), dibutyltin oxide (Bu2SnO) and tetrabutyl ammonium iodide (Bu4NI) in THF to furnish compound (V). On the other hand, phenyl 1-thio-beta-L-fucopyranoside (VI) is regioselectively protected with chloride (IV) by means of dibutyl oxide and tetrabutyl ammonium iodide in THF/MeOH to yield derivative (VII), which is benzylated by means of benzyl bromide (BnBr) and NaH in DMF to give fucopyranoside derivative (VIII). Glycosylation of compound (V) with derivative (VIII) is then performed in the presence of N-iodosuccinimide (NIS), trifluoromethanesulfonic acid (TfOH) and molecular sieves in toluene to afford disaccharide (IX), whose 4-methoxybenzyl groups are removed in CH2Cl2/H2O in the presence of 2,3-dichloro-5,6-dicyanobenzoquinone (DDQ) to yield (X). Sulfation of compound (X) with SO3.pyridine complex in DMF provides sulfate (XI), which is finally hydrogenated over Pd/C in MeOH/THF to furnish the desired product.

参考文献No.619694
标题:Synthetic studies on selectin ligands/inhibitors: Synthesis and inhibitory activity of 2-O-fucosyl sulfatides containing 2-branched fatty alkyl residues in place of ceramide
作者:Ikami, T.; et al.
来源:J Carbohydr Chem 1998,17(3),453
合成路线图解说明:

Treatment of 2-(tetradecyl)hexadecyl beta-D-galactopyranoside (I) with benzaldehyde dimethyl acetal (II) in THF containing H2SO4 provides 4,6-O-benzylidene derivative (III), which is then subjected to 3-O-4-methoxybenzylation by reaction with 4-methoxybenzyl chloride (IV), dibutyltin oxide (Bu2SnO) and tetrabutyl ammonium iodide (Bu4NI) in THF to furnish compound (V). On the other hand, phenyl 1-thio-beta-L-fucopyranoside (VI) is regioselectively protected with chloride (IV) by means of dibutyl oxide and tetrabutyl ammonium iodide in THF/MeOH to yield derivative (VII), which is benzylated by means of benzyl bromide (BnBr) and NaH in DMF to give fucopyranoside derivative (VIII). Glycosylation of compound (V) with derivative (VIII) is then performed in the presence of N-iodosuccinimide (NIS), trifluoromethanesulfonic acid (TfOH) and molecular sieves in toluene to afford disaccharide (IX), whose 4-methoxybenzyl groups are removed in CH2Cl2/H2O in the presence of 2,3-dichloro-5,6-dicyanobenzoquinone (DDQ) to yield (X). Sulfation of compound (X) with SO3.pyridine complex in DMF provides sulfate (XI), which is finally hydrogenated over Pd/C in MeOH/THF to furnish the desired product.

Drug Information Express,Drug R&D,Chemical Database,Patent Search.
Copyright © 2006-2026 Drug Future. All rights reserved.Contact Us