【药物名称】
化学结构式(Chemical Structure):
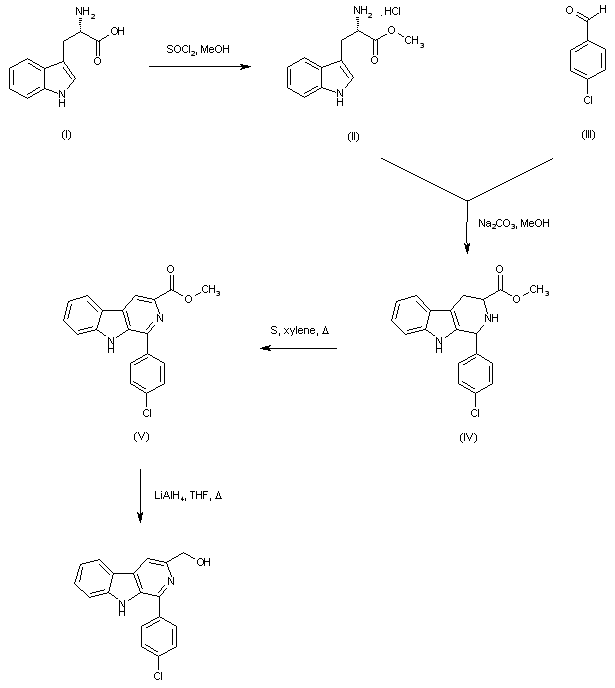
参考文献No.537113
标题:Potent 1,3-disubstituted-9H-pyrido[3,4-b]indoles as new lead compounds in antifilarial chemotherapy
作者:Srivastava, S.K.; Agarwal, A.; Chauhan, P.M.; Agarwal, S.K.; Bhaduri, A.P.; Singh, S.N.; Fatima, N.; Chatterjee, R.K.
来源:J Med Chem 1999,42(9),1667
合成路线图解说明:

Esterification of L-tryptophan (I) by means of MeOH and SOCl2 gave the corresponding methyl ester (II). Subsequent Pictet-Spengler cyclization of (II) with 4-chlorobenzaldehyde (III) furnished the tetrahydropyridoindole (IV), which was dehydrogenated to the beta-carboline (V) using sulfur in refluxing xylene. The ester group of (V) was finally reduced to the target alcohol with LiAlH4 in THF.

参考文献No.543510
标题:Potent 1,3-disubstituted-9H-pyrido[3,4-b]indoles as new lead compounds in antifilarial chemotherapy
作者:Srivastava, S.K.; Agarwal, A.; Chauhan, P.M.; Agarwal, S.K.; Bhaduri, A.P.; Singh, S.N.; Fatima, N.; Chatterjee, R.K.
来源:Bioorg Med Chem 1999,7(6),1223
合成路线图解说明:

Esterification of L-tryptophan (I) by means of MeOH and SOCl2 gave the corresponding methyl ester (II). Subsequent Pictet-Spengler cyclization of (II) with 4-chlorobenzaldehyde (III) furnished the tetrahydropyridoindole (IV), which was dehydrogenated to the beta-carboline (V) using sulfur in refluxing xylene. The ester group of (V) was finally reduced to the target alcohol with LiAlH4 in THF.

Drug Information Express,Drug R&D,Chemical Database,Patent Search.
Copyright © 2006-2026 Drug Future. All rights reserved.Contact Us