【药物名称】S-22575, PMS-889
化学结构式(Chemical Structure):
参考文献No.537117
标题:Design and synthesis of imidazoline derivatives active on glucose homeostasis in a rat model of type II diabetes. 2. Syntheses and biological activities of 1,4-dialkyl-, 1,4-dibenzyl, and 1-benzyl-4-alkyl-2-(4',5'-dihydro-1'H-imidazol-2'-yl)piperazines an
作者:Le Bihan, G.; Rondu, F.; Pele-Tounian, A.; Wang, X.; Lidy, S.; Touboul, E.; Lamouri, A.; Dive, G.; Huet, J.; Pfeiffer, B.; Renard, P.; Guardiola-Lemaitre, B.; Manechez, D.; Penicaud, L.; Ktorza, A.; Godfroid, J.J.
来源:J Med Chem 1999,42(9),1587
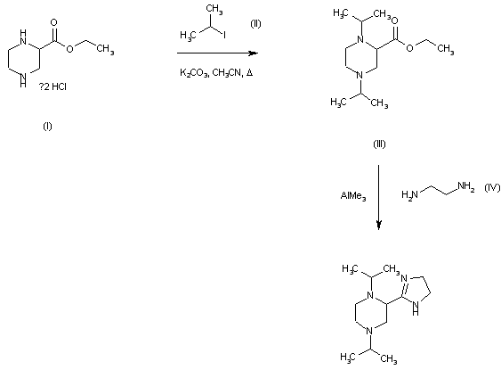
合成路线图解说明:

Alkylation of ethyl piperazine-2-carboxylate (I) with two equivalents of isopropyl iodide (II) afforded disubstituted piperazine (III). The title imidazoline was then obtained by reaction of the ester function of (III) with ethylenediamine (IV) in the presence of trimethylaluminum.

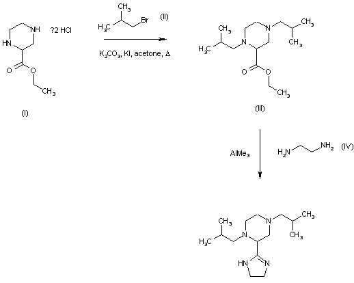
合成路线图解说明:

Alkylation of ethyl piperazine-2-carboxylate (I) with two equivalents of isobutyl bromide (II) under catalysis of KI afforded disubstituted piperazine (III). The title imidazoline was then obtained by reaction of the ester function of (III) with ethylenediamine (IV) in the presence of trimethylaluminum.

Drug Information Express,Drug R&D,Chemical Database,Patent Search.
Copyright © 2006-2026 Drug Future. All rights reserved.Contact Us