【药物名称】Me[18F]FBWAY
化学结构式(Chemical Structure):
参考文献No.537114
标题:Development of fluorine-18-labeled 5-HT1A antagonists
作者:Lang, L.; Jagoda, E.; Schmall, B.; Vuong, B.K.; Adams, H.R.; Nelson, D.L.; Carson, R.E.; Eckelman, W.C.
来源:J Med Chem 1999,42(9),1576
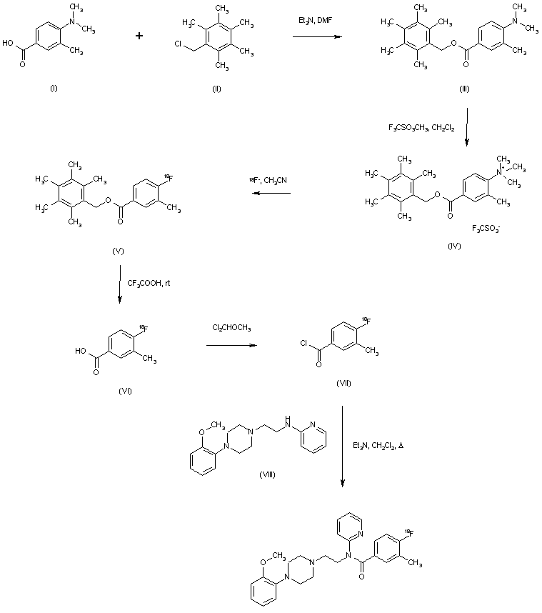
合成路线图解说明:

Condensation of 4-(dimethylamino)-3-methylbenzoic acid (I) with pentamethylbenzyl chloride (II) in the presence of Et3N afforded ester (III). The tertiary amino group of (III) was then methylated using methyl trifluoromethane-sulfonate to provide ammonium salt (IV). Subsequent displacement of the trimethylammonium salt of (IV) for a 18F-, followed by cleavage of the benzyl ester (V) with trifluoroacetic acid, provided the labeled intermediate 4-18fluoro-3-methylbenzoic acid (VI). Treatment of (VI) with dichloromethyl methyl ether gave the corresponding acid chloride (VII), which was finally coupled with amine (WAY 100634)(VIII) to produce the target amide.

Drug Information Express,Drug R&D,Chemical Database,Patent Search.
Copyright © 2006-2026 Drug Future. All rights reserved.Contact Us