【药物名称】SUN-N8075
化学结构式(Chemical Structure):
参考文献No.39293
标题:Arylpiperidinopropanol and arylpiperazinopropanol derivs. and pharmaceuticals containing the same
作者:Nakanishi, K.; Annoura, H.; Tamura, S. (Suntory Ltd.)
来源:CA 2276373; EP 0958280; WO 9923072
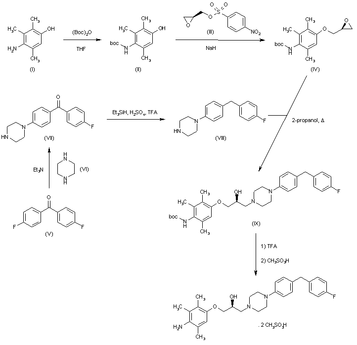
合成路线图解说明:

Chemoselective protection of the amino group of 2,3,5-trimethyl-4-aminophenol (I) with di-tert-butyl dicarbonate (Boc)2O in THF gives compound (II), which is then treated with NaH and (S)-glycidyl 3-nitrobenzenesulfonate (III) to yield epoxypropane (IV). On the other hand, treatment of 4,4'-difluorobenzophenone (V) with piperazine (VI) in acetonitrile in the presence of Et3N gives derivative (VII), which is reduced with Et3siH in the presence of H2SO4 and TFA to afford piperazine (VIII). Condensation of epoxypropane (IV) with piperazine (VIII) in refluxing 2-propanol furnishes compound (IX), which is finally converted into the desired product by first removal of the Boc group by exposure to TFA in CH2Cl2, followed by treatment with methanesulfonic acid (MeSO3H).

参考文献No.589264
标题:Discovery of (2S)-1-(4-amino-2,3,5-trimethylphenoxy)-3-(4-[4-(4-fluorobenzyl)phenyl)-1-piperazinyl)-2-propanol dimethanesulfonate (SUN N8075): A dual Na+ and Ca2+ channel blocker with antioxidant activity
作者:Annoura, H.; Nakanishi, K.; Toba, T.; Takemoto, N.; Imajo, S.; Miyajima, A.; Tamura-Horikawa, Y.; Tamura, S.
来源:J Med Chem 2000,43(18),3372
合成路线图解说明:

Chemoselective protection of the amino group of 2,3,5-trimethyl-4-aminophenol (I) with di-tert-butyl dicarbonate (Boc)2O in THF gives compound (II), which is then treated with NaH and (S)-glycidyl 3-nitrobenzenesulfonate (III) to yield epoxypropane (IV). On the other hand, treatment of 4,4'-difluorobenzophenone (V) with piperazine (VI) in acetonitrile in the presence of Et3N gives derivative (VII), which is reduced with Et3siH in the presence of H2SO4 and TFA to afford piperazine (VIII). Condensation of epoxypropane (IV) with piperazine (VIII) in refluxing 2-propanol furnishes compound (IX), which is finally converted into the desired product by first removal of the Boc group by exposure to TFA in CH2Cl2, followed by treatment with methanesulfonic acid (MeSO3H).

Drug Information Express,Drug R&D,Chemical Database,Patent Search.
Copyright © 2006-2026 Drug Future. All rights reserved.Contact Us