【药物名称】CEB-1370
化学结构式(Chemical Structure):
参考文献No.39295
标题:Ortho-hydroxypyridinone derivs. as iron chelating and antioxidant agents
作者:Malcolm, C.; Porter, R.; Bebbington, D.; Palmer, A.; Gaur, S.; Monck, N. (Vernalis Research Ltd.)
来源:EP 1027335; WO 9923075
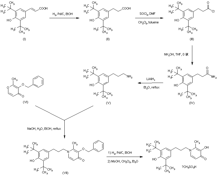
合成路线图解说明:

Catalytic hydrogenation of 3,5-di-tert-butyl-4-hydroxycinnamic acid (I) afforded the saturated carboxylic acid (II), which was converted into amide (IV) via the corresponding acid chloride (III). Reduction of the amide function of (IV) by means of LiAlH4 furnished the primary amine (V). This was condensed with O-benzyl maltol (VI) to produce the pyridone (VII). After hydrogenolysis of the benzyl protecting group of (VII), the title compound was isolated as the corresponding mesylate salt.

参考文献No.588139
标题:3,5-Disubstituted-4-hydroxyphenyls linked to 3-hydroxy-2-methyl-4(1H)-pyridinone: Potent inhibitors of lipid peroxidation and cell toxicity
作者:Bebbington, D.; Monck, N.J.T.; Gaur, S.; Palmer, A.M.; Benwell, K.; Harvey, V.; Malcolm, C.S.; Porter, R.H.P.
来源:J Med Chem 2000,43(15),2779
合成路线图解说明:

Catalytic hydrogenation of 3,5-di-tert-butyl-4-hydroxycinnamic acid (I) afforded the saturated carboxylic acid (II), which was converted into amide (IV) via the corresponding acid chloride (III). Reduction of the amide function of (IV) by means of LiAlH4 furnished the primary amine (V). This was condensed with O-benzyl maltol (VI) to produce the pyridone (VII). After hydrogenolysis of the benzyl protecting group of (VII), the title compound was isolated as the corresponding mesylate salt.

Drug Information Express,Drug R&D,Chemical Database,Patent Search.
Copyright © 2006-2026 Drug Future. All rights reserved.Contact Us