【药物名称】
化学结构式(Chemical Structure):
参考文献No.39135
标题:Novel imidazo[1,5-a]pyrimidine derivs. and their preparation
作者:Mizuno, Y.; Matsumoto, K.; Nagata, N. (Minophagen Pharmaceutical Co., Ltd.)
来源:JP 1999092478
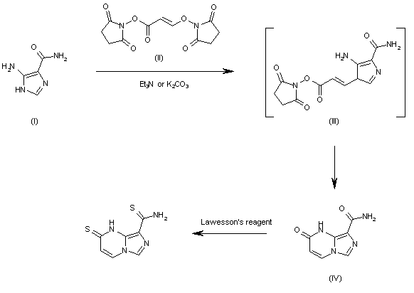
合成路线图解说明:

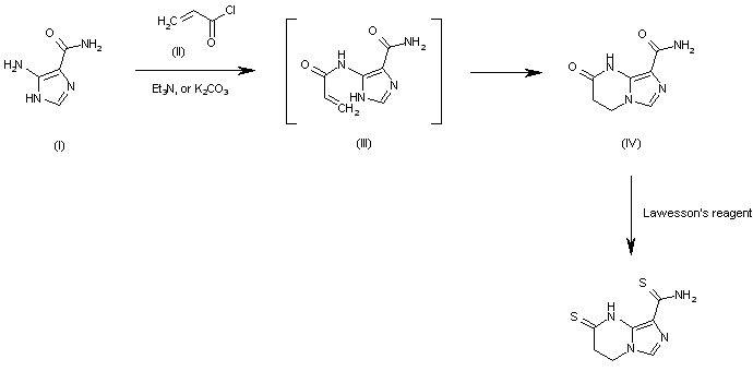
The reaction of 5-amino-1H-imidazole-4-carboxamide (I) with acryloyl chloride (II) by means of Et3N or K2CO3 in acetonitrile gives the intermediate, not isolated compound (III), which cyclizes to the imidazopyrimidine (IV). Finally, this compound is treated with Lawesson's reagent in dioxane or xylene.

合成路线图解说明:

The reaction of 5-amino-1H-imidazole-4-carboxamide (I) with acryloyl bis-succinimide derivative (II) by means of Et3N or K2CO3 in acetonitrile gives the intermediate, not isolated compound (III), which cyclizes to the imidazo-pyrimidine (IV). Finally, this compound is treated with Lawesson's reagent in dioxane or xylene.

参考文献No.537279
标题:Synthesis of 2,8-disubstituted imidazo[1,5-a]pyrimidines with potent antitumor activity
作者:Matsumoto, H.; Ikeda, K.; Nagata, N.; Takayanagi, H.; Mizuno, Y.; Tanaka, M.; Sasaki, T.
来源:J Med Chem 1999,42(9),1661
合成路线图解说明:

The reaction of 5-amino-1H-imidazole-4-carboxamide (I) with acryloyl chloride (II) by means of Et3N or K2CO3 in acetonitrile gives the intermediate, not isolated compound (III), which cyclizes to the imidazopyrimidine (IV). Finally, this compound is treated with Lawesson's reagent in dioxane or xylene.

合成路线图解说明:

The reaction of 5-amino-1H-imidazole-4-carboxamide (I) with acryloyl bis-succinimide derivative (II) by means of Et3N or K2CO3 in acetonitrile gives the intermediate, not isolated compound (III), which cyclizes to the imidazo-pyrimidine (IV). Finally, this compound is treated with Lawesson's reagent in dioxane or xylene.

Drug Information Express,Drug R&D,Chemical Database,Patent Search.
Copyright © 2006-2026 Drug Future. All rights reserved.Contact Us