【药物名称】SB-268091
化学结构式(Chemical Structure):
参考文献No.39237
标题:Pleuromutilin derivs. as antimicrobials
作者:Dabbs, S.; Hunt, E.; Berry, V.; Woodnutt, G.; Sanderson, F.D.; Frydrych, C.H. (SmithKline Beecham Corp.; SmithKline Beecham plc)
来源:EP 1028961; WO 9921855
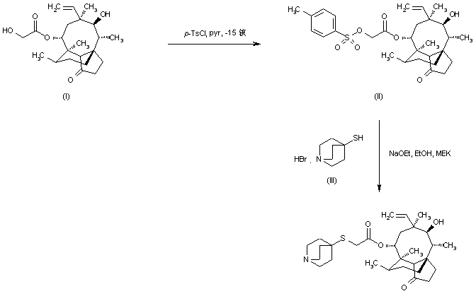
合成路线图解说明:

Treatment of pleuromutilin (I) with p-toluenesulfonyl chloride in pyridine at low temperature provided mutilin 14-(p-toluenesulfonyloxy)acetate (II). Subsequent condensation with quinuclidin-4-thiol hydrobromide (III) in the presence of NaOEt yielded the title sulfide.

合成路线图解说明:

By condensation of mesylate (IV) with quinuclidin-4-thiol hydrochloride (V) in the presence of NaOMe.

参考文献No.701147
标题:
作者:Zhu, C.F.; et al.
来源:J Antibiot 1976,29(2),132
合成路线图解说明:

Treatment of pleuromutilin (I) with p-toluenesulfonyl chloride in pyridine at low temperature provided mutilin 14-(p-toluenesulfonyloxy)acetate (II). Subsequent condensation with quinuclidin-4-thiol hydrobromide (III) in the presence of NaOEt yielded the title sulfide.

Drug Information Express,Drug R&D,Chemical Database,Patent Search.
Copyright © 2006-2026 Drug Future. All rights reserved.Contact Us