【药物名称】AG-12275
化学结构式(Chemical Structure):
参考文献No.39234
标题:4-Aminothiazole derivs., their preparation and their use as inhibitors of cyclin-dependent kinases
作者:Yang, Y.; Xiao, W.; Chu, S.S.; Li, L.; Chong, W.K.M.; Duvadie, R.R. (Agouron Pharmaceuticals, Inc.)
来源:WO 9921845
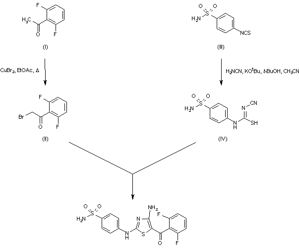
合成路线图解说明:

The bromination of 2',6'-difluoroacetophenone (I) using CuBr2 afforded bromoketone (II). Addition of cyanamide to 4-isothiocyanato-benzenesulfonamide (III) in the presence of potassium tert-butoxide generated the intermediate N-cyano isothiourea (IV). Subsequent condensation of (IV) with bromoketone (II) produced the target thiazole derivative.

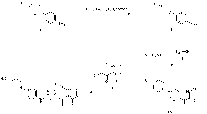
合成路线图解说明:

Treatment of 1-(4-aminophenyl)-4-methylpiperazine (I) with thiophosgene and Na2CO3 afforded isothiocyanate (II). Subsequent condensation of (II) with cyanamide in the presence of potassium tert-butoxide, followed by reaction of the resulting intermediate (IV) with 2-chloro-2',6'-difluoroacetophenone (V) produced the title aminothiazole.

Drug Information Express,Drug R&D,Chemical Database,Patent Search.
Copyright © 2006-2026 Drug Future. All rights reserved.Contact Us