【药物名称】V-93
化学结构式(Chemical Structure):
参考文献No.537340
标题:Bis-benzimidazole anticancer agents: Targeting human tumour helicases
作者:Soderlind, K.-J.; et al.
来源:Anti-Cancer Drug Des 1999,14(1),19
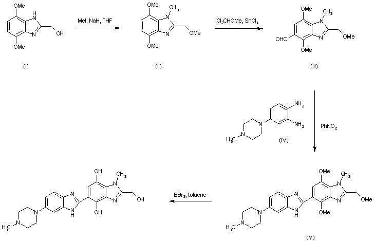
合成路线图解说明:

Methylation of (hydroxymethyl)benzimidazole (I) at the amino and hydroxyl groups with MeI and NaH provided (II). Subsequent formylation of (II) employing dichloromethyl methyl ether and SnCl4 gave aldehyde (III), which was condensed with the phenylenediamine derivative (IV) in nitrobenzene to produce the bis(benzimidazole) (V). Finally, cleavage of the methyl ethers of (V) with BBr3 in toluene yielded the title compound.

Drug Information Express,Drug R&D,Chemical Database,Patent Search.
Copyright © 2006-2026 Drug Future. All rights reserved.Contact Us