【药物名称】GW-0072
化学结构式(Chemical Structure):
参考文献No.43471
标题:PPARgamma ligands
作者:Willson, T.M.; Holmes, C.P.; Collins, J.L.; Lenhard, J.M. (Glaxo Group Ltd.)
来源:WO 0027832
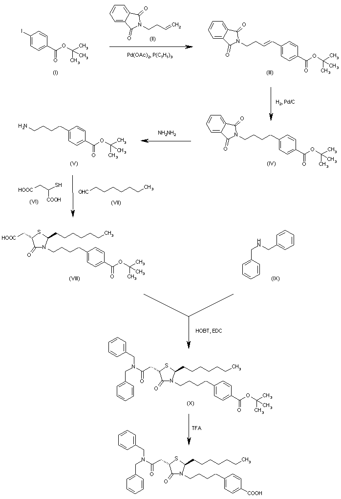
合成路线图解说明:

The condensation of tert-butyl 4-iodobenzoate (I) with N-(3-butenyl)phthalimide (II) by means of palladium acetate and tri-p-tolylphosphine in TEA at 110 C gives 4-(4-phthalimido-1-butenyl)benzoic acid tert-butyl ester (III), which is hydrogenated with H2 over Pd/C in THF/ethanol yielding the corresponding butyl derivative (IV). The treatment of (IV) with hydrazine in refluxing ethanol affords 4-(4-aminobutyl)benzoic acid tert-butyl ester (V), which is cyclized with 2-sulfanylsuccinic acid (VI) and octanal (VII) in refluxing toluene to provide the thiazolidinone (VIII). The condensation of (VIII) with dibenzylamine (IX) by means of HOBT and EDC in dichloromethane, followed by chromatographic separation of the undesired (2R*,5S*)-isomer, yields the (2S*,5S*)-dibenzylamide (X). Finally, this compound is hydrolyzed with TFA in dichloromethane affording the target benzoic acid.

Drug Information Express,Drug R&D,Chemical Database,Patent Search.
Copyright © 2006-2026 Drug Future. All rights reserved.Contact Us