【药物名称】DAA-1106
化学结构式(Chemical Structure):
参考文献No.38422
标题:Aryloxyaniline derivs.
作者:Yamamoto, Y.; Yoshida, M.; Nakamura, T.; Tomisawa, K.; Harada, K.; Nagamine, M.; Nakazato, A.; Chaki, S.; Okubo, T. (Nihon Nohyaku Co., Ltd.; Taisho Pharmaceutical Co., Ltd.)
来源:EP 1004573; JP 1999171844; US 2002147191; US 6333358; US 6476056; WO 9906353
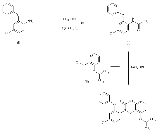
合成路线图解说明:

4-Chloro-2-phenoxyaniline (I) was acylated with acetyl chloride and triethylamine to afford acetamide (II). Alkylation of the amide N of (II) by 2-isopropoxybenzyl chloride (III) in the presence of NaH provided the target tertiary amide.

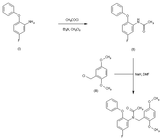
合成路线图解说明:

5-Fluoro-2-phenoxyaniline (I) was acylated with acetyl chloride and triethylamine to afford acetamide (II). Alkylation of the amide N by 2,5-dimethoxybenzyl chloride (III) in the presence of NaH provided the target tertiary amide.

Drug Information Express,Drug R&D,Chemical Database,Patent Search.
Copyright © 2006-2026 Drug Future. All rights reserved.Contact Us