【药物名称】DA-6034
化学结构式(Chemical Structure):
参考文献No.35677
标题:Gastroprotective flavone/flavone cpds. with therapeutic effect on inflammatory bowel disease
作者:Yoo, M.; Son, M.W.; Kin, I.Y.; Kin, W.B.; Kin, S.H.; Lee, S.D.; Lim, G.J.; Lim, J.I.; Ahn, B.O.; Baik, N.G.; Kin, D.S.; Oh, T.Y.; Ryu, B.K.; Yang, J.S.; Shin, H.C. (Dong-A Pharmaceutical Co., Ltd.)
来源:JP 1999514015; US 6025387; WO 9804541
合成路线图解说明:

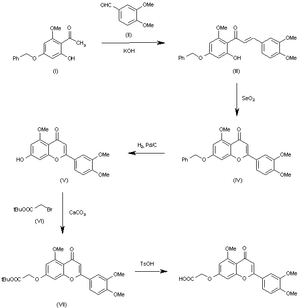
The condensation of 4-benzyloxy-2-hydroxy-6-methoxyacetophenone (I) with 3,4-dimethoxybenzaldehyde (II) by means of KOH in ethanol/water gives the chalcone (III), which is cyclized by means of SeO2 in refluxing isoamyl alcohol to yield the benzopyran (IV). The hydrogenolysis of the benzyl group of (IV) with H2 over Pd/C in chloroform affords the 7-hydroxybenzopyran (V), which is condensed with tert-butyl bromoacetate (VII) by means of CaCO3 in DMF to provide the benzopyranyloxy acetate (VIII). Finally, this compound is deprotected by reaction with p-toluenesulfonic acid in refluxing benzene.

Drug Information Express,Drug R&D,Chemical Database,Patent Search.
Copyright © 2006-2026 Drug Future. All rights reserved.Contact Us