【药物名称】TY-12533
化学结构式(Chemical Structure):
参考文献No.37309
标题:Cycloalka[b]pyridine-3-carbonylguanidine derivs., process for producing the same, and drugs containing the same
作者:Kogi, K.; Takahashi, A.; Gengyou, K.; Aihara, K.; Yoneyama, F.; Sasamori, J.; Yoneyama, S.; Satoh, T.; Yamada, S.; Kimura, T. (Toa Eiyo Ltd.)
来源:EP 0972767; WO 9839300
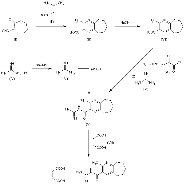
合成路线图解说明:

Condensation of 2-formylcycloheptanone (I) with ethyl 3-aminocrotonate (II) provides ethyl carboxylate (III), which is then converted into carbonylguanidine (VI) by reaction with free guanidine (V) (obtained from guanidine hydrochloride (IV) by treatment with Na/MeOH) in refluxing isopropanol. Alternatively, carbonylguanidine (VI) can also be obtained by saponification of ethyl ester (III) with refluxing NaOH to yield carboxylic acid (VII), which is then activated with oxalyl chloride (A) in CH2Cl2 or with CDI in THF to allow condensation with guanidine (V) in THF. Finally, the corresponding maleate can be obtained by reaction of carbonylguanidine (VI) with maleic acid (VIII) in MeOH.

Drug Information Express,Drug R&D,Chemical Database,Patent Search.
Copyright © 2006-2026 Drug Future. All rights reserved.Contact Us