【药物名称】UR-3216
化学结构式(Chemical Structure):
参考文献No.48914
标题:N-Acylamino acid amide cpds. and intermediates for preparation thereof
作者:Baba, K.; Tanaka, M.; Kuroki, Y.; Takata, K.; Motoyama, T.; Ueno, H. (Ube Industries, Ltd.)
来源:EP 1020467; US 6265418; WO 9906402
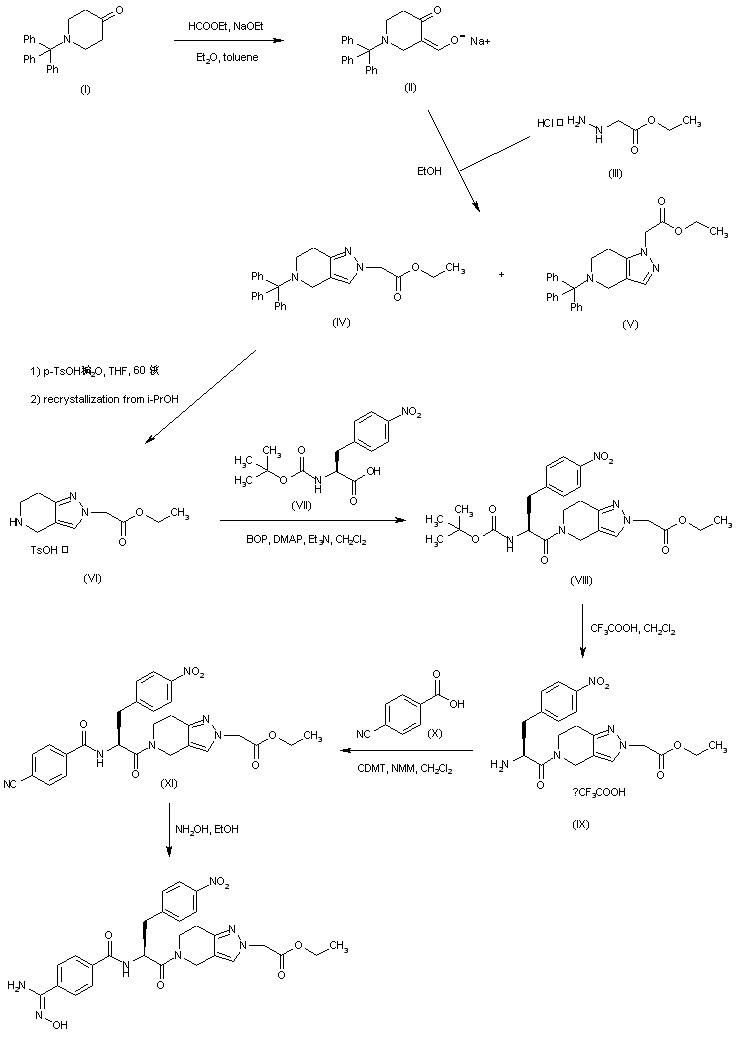
合成路线图解说明:

Claisen condensation of ethyl formate with N-trityl-4-piperidone (I) in the presence of NaOEt afforded the intermediate dicarbonyl enolate (II), which was subsequently condensed with ethyl hydrazinoacetate (III) to furnish the desired pyrazolopyridine (IV) accompanied by minor amounts of its regioisomer (V). After acid cleavage of the trityl protecting group of (IV), the desired isomer (VI) was isolated by recrystallization from isopropanol. Coupling of (VI) with N-Boc-L-4-nitrophenylalanine (VII) employing BOP yielded amide (VIII). Subsequent Boc group cleavage in (VIII) with trifluoroacetic acid provided amine (IX), which was coupled with 4-cyanobenzoic acid (X) using 6-chloro-2,4-dimethoxy-1,3,5-triazine (CDMT) to yield (XI). Finally, addition of hydroxylamine to the cyano group of (XI) gave the title N-hydroxyamidine.

Drug Information Express,Drug R&D,Chemical Database,Patent Search.
Copyright © 2006-2026 Drug Future. All rights reserved.Contact Us