【药物名称】N1,N8-Bisnorcymserine
化学结构式(Chemical Structure):
参考文献No.40242
标题:Highly selective butyrylcholinesterase inhibitors for the treatment and diagnosis of Alzheimer's disease and dementias
作者:Soncrant, T.T.; Brossi, A.; Greig, N.H.; Hausman, M.; Yu, Q.-S. (Axonyx Inc.; National Institutes of Health)
来源:CA 2264750; EP 0949920; WO 9902154
合成路线图解说明:

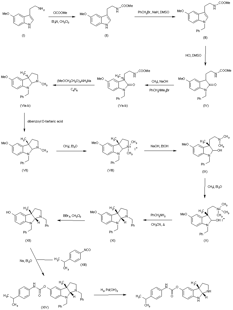
6-Methoxytryptamine (I) was condensed with methyl chloroformate to give carbamate (II), and further alkylation with benzyl bromide yielded the N-benzyl indole (III). Oxidation of the indole ring of (III) with DMSO/HCl gave oxindole (IV). Phase-transfer methylation using iodomethane and benzyltrimethylammonium bromide afforded the racemic methyl derivative (Va-b). Subsequent reduction and cyclization of (Va-b) by means of Red-Al furnished the tricyclic compound (VIa-b), which was resolved with dibenzoyl D-tartaric acid to provide the (3aS)-enantiomer (VII). Conversion of (VII) to the N,N'-dibenzyl analogue (XI) was achieved via quaternization to the ammonium salt (VIII) with iodomethane in Et2O. Ring-opening of (VIII) under basic conditions produced the hydroxy tryptamine (IX), which was again quaternized to (X) with iodomethane and then cyclized with benzylamine to provide directly the dibenzyl compound (XI). Ether cleavage of (XI) with boron tribromide gave the phenolic derivative (XII). This was coupled with 4-isopropylphenyl isocyanate in the presence of a catalytic amount of Na to yield carbamate (XIV). Finally, hydrogenolytic cleavage of the benzyl groups of (XIV) over Pd(OH)2 furnished the title compound.

参考文献No.540008
标题:Synthesis of novel phenserine-based-selective inhibitors of butyrylcholinesterase for Alzheimer's disease
作者:Holloway, H.W.; Yu, Q.-S.; Utsuki, T.; Brossi, A.; Greig, N.H.
来源:J Med Chem 1999,42(10),1855
合成路线图解说明:

6-Methoxytryptamine (I) was condensed with methyl chloroformate to give carbamate (II), and further alkylation with benzyl bromide yielded the N-benzyl indole (III). Oxidation of the indole ring of (III) with DMSO/HCl gave oxindole (IV). Phase-transfer methylation using iodomethane and benzyltrimethylammonium bromide afforded the racemic methyl derivative (Va-b). Subsequent reduction and cyclization of (Va-b) by means of Red-Al furnished the tricyclic compound (VIa-b), which was resolved with dibenzoyl D-tartaric acid to provide the (3aS)-enantiomer (VII). Conversion of (VII) to the N,N'-dibenzyl analogue (XI) was achieved via quaternization to the ammonium salt (VIII) with iodomethane in Et2O. Ring-opening of (VIII) under basic conditions produced the hydroxy tryptamine (IX), which was again quaternized to (X) with iodomethane and then cyclized with benzylamine to provide directly the dibenzyl compound (XI). Ether cleavage of (XI) with boron tribromide gave the phenolic derivative (XII). This was coupled with 4-isopropylphenyl isocyanate in the presence of a catalytic amount of Na to yield carbamate (XIV). Finally, hydrogenolytic cleavage of the benzyl groups of (XIV) over Pd(OH)2 furnished the title compound.

参考文献No.607162
标题:Syntheses and anticholinesterase activities of (3aS)-N1,N8-bisnorphenserine, (3aS)-N1,N8-bisnorphysostigmine. Their antipodal isomers and other potential metabolites of phenserine
作者:Yu, Q.-S.; Greig, N.H.; Holloway, H.W.; Brossi, A.
来源:J Med Chem 1998,41(13),2371-79
合成路线图解说明:

6-Methoxytryptamine (I) was condensed with methyl chloroformate to give carbamate (II), and further alkylation with benzyl bromide yielded the N-benzyl indole (III). Oxidation of the indole ring of (III) with DMSO/HCl gave oxindole (IV). Phase-transfer methylation using iodomethane and benzyltrimethylammonium bromide afforded the racemic methyl derivative (Va-b). Subsequent reduction and cyclization of (Va-b) by means of Red-Al furnished the tricyclic compound (VIa-b), which was resolved with dibenzoyl D-tartaric acid to provide the (3aS)-enantiomer (VII). Conversion of (VII) to the N,N'-dibenzyl analogue (XI) was achieved via quaternization to the ammonium salt (VIII) with iodomethane in Et2O. Ring-opening of (VIII) under basic conditions produced the hydroxy tryptamine (IX), which was again quaternized to (X) with iodomethane and then cyclized with benzylamine to provide directly the dibenzyl compound (XI). Ether cleavage of (XI) with boron tribromide gave the phenolic derivative (XII). This was coupled with 4-isopropylphenyl isocyanate in the presence of a catalytic amount of Na to yield carbamate (XIV). Finally, hydrogenolytic cleavage of the benzyl groups of (XIV) over Pd(OH)2 furnished the title compound.

参考文献No.608010
标题:Total syntheses and anticholinesterase activities of (3aS)-N(8)-norphysostigmine, (3aS)-N(8)-norphenserine, their antipodal isomers and other N(8)-substituted analogues
作者:Yu, Q.-S.; Pei, X.F.; Holloway, H.W.; Greig, N.H.; Brossi, A.
来源:J Med Chem 1997,40(18),2895-2901
合成路线图解说明:

6-Methoxytryptamine (I) was condensed with methyl chloroformate to give carbamate (II), and further alkylation with benzyl bromide yielded the N-benzyl indole (III). Oxidation of the indole ring of (III) with DMSO/HCl gave oxindole (IV). Phase-transfer methylation using iodomethane and benzyltrimethylammonium bromide afforded the racemic methyl derivative (Va-b). Subsequent reduction and cyclization of (Va-b) by means of Red-Al furnished the tricyclic compound (VIa-b), which was resolved with dibenzoyl D-tartaric acid to provide the (3aS)-enantiomer (VII). Conversion of (VII) to the N,N'-dibenzyl analogue (XI) was achieved via quaternization to the ammonium salt (VIII) with iodomethane in Et2O. Ring-opening of (VIII) under basic conditions produced the hydroxy tryptamine (IX), which was again quaternized to (X) with iodomethane and then cyclized with benzylamine to provide directly the dibenzyl compound (XI). Ether cleavage of (XI) with boron tribromide gave the phenolic derivative (XII). This was coupled with 4-isopropylphenyl isocyanate in the presence of a catalytic amount of Na to yield carbamate (XIV). Finally, hydrogenolytic cleavage of the benzyl groups of (XIV) over Pd(OH)2 furnished the title compound.

Drug Information Express,Drug R&D,Chemical Database,Patent Search.
Copyright © 2006-2026 Drug Future. All rights reserved.Contact Us