【药物名称】N1-Phenethylnorcymserine
化学结构式(Chemical Structure):
参考文献No.800370
标题:Preparation and selective inhibition of human butyrylchlolinesterase by N1-phenethylnorphysostigmine analogues
作者:Pei, X.-F.; et al.
来源:Med Chem Res 1995,5455-461
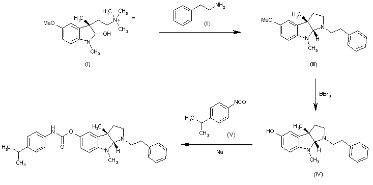
合成路线图解说明:

The reaction of methiodide (I) with 2-phenylethylamine (II) gives N1-phenethylnoresermethole (III), which is demethylated with BBr3 yielding N1-phenethylnoreseroline (IV). Finally, this compound is condensed with 4-isopropylphenyl isocyante (V) to afford the target carbamate.

Drug Information Express,Drug R&D,Chemical Database,Patent Search.
Copyright © 2006-2026 Drug Future. All rights reserved.Contact Us