【药物名称】L-374943
化学结构式(Chemical Structure):
参考文献No.39672
标题:Tocolytic oxytocin receptor antagonists
作者:Freidinger, R.M.; Stauffer, K.; Perlow, D.S.; Sparks, M.A.; Williams, P.D.; Bell, I.M. (Merck & Co., Inc.)
来源:GB 2326410; US 6090805
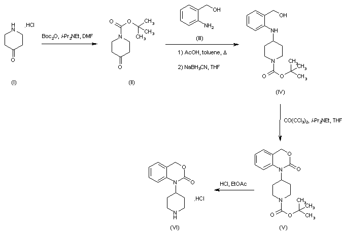
合成路线图解说明:

4-Piperidinone hydrochloride (I) was protected as the tert-butyl carbamate (II) using Boc2O and diisopropyl ethylamine. Condensation of (II) with 2-aminobenzyl alcohol (III) in boiling toluene, followed by reduction with sodium cyanoborohydride gave secondary amine (IV). Subsequent cyclization of (IV) in the presence of triphosgene and diisopropyl ethylamine produced the benzoxazinone (V), from which the Boc group was removed with HCl in EtOAc to yield intermediate (VI).

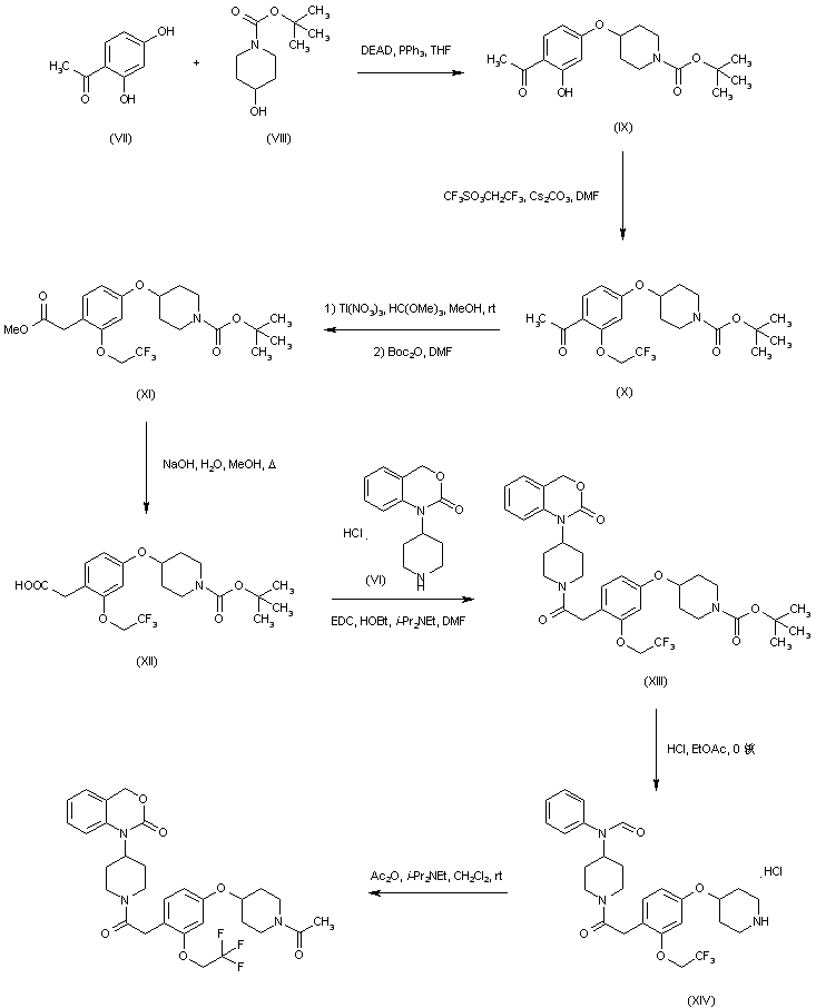
合成路线图解说明:

Regioselective Mitsunobu condensation of 2',4'-dihydroxyacetophenone (VII) with N-Boc-4-piperidinol (VIII) afforded ether (IX). The 2'-hydroxyl group of (IX) was then alkylated with 2,2,2-trifluoroethyl trifluoromethanesulfonate in the presence of Cs2CO3 to give (X). Oxidative rearrangement of the acetophenone (X) employing thallium trinitrate and trimethyl orthoformate generated the phenylacetic ester (XI), which was hydrolyzed to acid (XII) with NaOH in aqueous MeOH. Subsequent EDC-mediated coupling of (XII) with piperidine intermediate (VI) yielded amide (XIII). The N-Boc group of (XIII) was cleaved using HCl in EtOAc, and the secondary amine (XIV) was acylated with acetic anhydride in the presence of diisopropyl ethylamine to afford the target acetamide.

参考文献No.535443
标题:Nonpeptide oxytocin antagonists: Analogs of L-371,257 with improved potency
作者:Williams, P.D.; Bock, M.G.; Evans, B.E.; Freidinger, R.M.; Gallicchio, S.N.; Guidotti, M.T.; Jacobson, M.A.; Kuo, M.S.; Levy, M.R.; Lis, E.V.; Michelson, S.R.; Pawluczyk, J.M.; Perlow, D.S.; Pettibone, D.J.; Quigley, A.G.; Reiss, D.R.; et al.
来源:Bioorg Med Chem Lett 1999,9(9),1311
合成路线图解说明:

Regioselective Mitsunobu condensation of 2',4'-dihydroxyacetophenone (VII) with N-Boc-4-piperidinol (VIII) afforded ether (IX). The 2'-hydroxyl group of (IX) was then alkylated with 2,2,2-trifluoroethyl trifluoromethanesulfonate in the presence of Cs2CO3 to give (X). Oxidative rearrangement of the acetophenone (X) employing thallium trinitrate and trimethyl orthoformate generated the phenylacetic ester (XI), which was hydrolyzed to acid (XII) with NaOH in aqueous MeOH. Subsequent EDC-mediated coupling of (XII) with piperidine intermediate (VI) yielded amide (XIII). The N-Boc group of (XIII) was cleaved using HCl in EtOAc, and the secondary amine (XIV) was acylated with acetic anhydride in the presence of diisopropyl ethylamine to afford the target acetamide.

Drug Information Express,Drug R&D,Chemical Database,Patent Search.
Copyright © 2006-2026 Drug Future. All rights reserved.Contact Us