【药物名称】VP-14637
化学结构式(Chemical Structure):
参考文献No.40100
标题:Cpds., compsns. and methods for treating or preventing pneumovirus infection and associated diseases
作者:Pevear, D.C.; Nitz, T.J. (ViroPharma, Inc.)
来源:WO 9938508
合成路线图解说明:

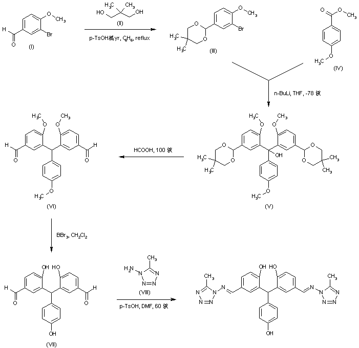
3-Bromo-4-hydroxybenzaldehyde (I) was protected as the corresponding cyclic ketal (III) by treatment with neopentyl glycol (II) and pyridinium p-toluenesulfonate. Lithiation of (III) with n-butyllithium, followed by addition to methyl 4-methoxybenzoate (IV), furnished the triaryl carbinol (V). Deketalization of (V) with concomitant reduction of the tertiary alcohol to yield (VI) was accomplished upon heating in formic acid. Subsequent cleavage of the methoxy groups of (VI) by means of boron tribromide afforded the trihydroxy derivative (VII). Finally, dialdehyde (VII) was condensed with 1-amino-5-methyltetrazole (VIII) to generate the title bis-imine.

Drug Information Express,Drug R&D,Chemical Database,Patent Search.
Copyright © 2006-2026 Drug Future. All rights reserved.Contact Us