【药物名称】BMS-184476
化学结构式(Chemical Structure):
参考文献No.24357
标题:Phosphonooxymethyl or methylthiomethyl ethers of taxane derivatives as antitumor agents
作者:Golik, J.; Kadow, J.F.; Kaplan, M.A.; Li, W.-S.; Perrone, R.K.; Thottahil, J.K.; Vyas, D.; Wittman, M.D.; Wong, H.; Wright, J.J. (Bristol-Myers Squibb Co.)
来源:EP 0639577
合成路线图解说明:

Paclitaxel (I) was protected as the 2'-(triethylsilyl) derivative (II) and then converted to the 7-methylsulfanylmethyl ether (III) by treatment with dimethyl sulfide and benzoyl peroxide. Subsequent desilylation of (III) using aqueous acetic acid or HCl in H2O/CH3CN furnished the desired 7-O-methylsulfanylmethyl paclitaxel. Alternatively, the title compound was also obtained by direct methylsulfanylmethylation of paclitaxel.

参考文献No.28700
标题:7-Ether-taxol analogs, antineoplastic use and pharmaceutical compsns. containing them
作者:Kelly, R.C.; Gebhard, I. (Pharmacia Corp.)
来源:EP 0767786; JP 1998502077; WO 9600724
合成路线图解说明:

Paclitaxel (I) was protected as the 2'-(triethylsilyl) derivative (II) and then converted to the 7-methylsulfanylmethyl ether (III) by treatment with dimethyl sulfide and benzoyl peroxide. Subsequent desilylation of (III) using aqueous acetic acid or HCl in H2O/CH3CN furnished the desired 7-O-methylsulfanylmethyl paclitaxel. Alternatively, the title compound was also obtained by direct methylsulfanylmethylation of paclitaxel.

参考文献No.28826
标题:7-O-Ethers of taxane derivs.
作者:Wong, H.S.; Wittman, M.D. (Bristol-Myers Squibb Co.)
来源:CA 2152771; EP 0694539; JP 1996239373
合成路线图解说明:

Paclitaxel (I) was protected as the 2'-(triethylsilyl) derivative (II) and then converted to the 7-methylsulfanylmethyl ether (III) by treatment with dimethyl sulfide and benzoyl peroxide. Subsequent desilylation of (III) using aqueous acetic acid or HCl in H2O/CH3CN furnished the desired 7-O-methylsulfanylmethyl paclitaxel. Alternatively, the title compound was also obtained by direct methylsulfanylmethylation of paclitaxel.

参考文献No.57563
标题:Methods for preparing new taxoids and pharmaceutical compsns. containing them
作者:Bourzat, J.-D.; Commercon, A.; Ojima, I.; Bouchard, H. (Aventis Pharma SA; State University of New York, Albany)
来源:WO 0270498
合成路线图解说明:

The reaction of 10-O-deacetyl-baccatin III (I) with triethylsilyl chloride and pyridine gives the 7-O-silyl derivative (II), which is acylated with Ac2O and pyridine to yield 7-O-(triethylsilyl)baccatin III (III). The condensation of (III) with the chiral oxazolidine-carboxylic acid (IV) by means of DCC and DMAP in ethyl acetate affords the 13-O-ester (V), which is desilylated by means of HF and TEA in dichloromethane to provide the free 7-hydroxy derivative (VI). The reaction of (VI) with dimethylsulfoxide, Ac2O and HOAc gives the 7-O-(methylsulfanylmethyl) derivative (VII), which is finally hydrolyzed at the oxazolidine ring by means of HCl in ethyl acetate to give rise to the target 7-O-(methlsulfanylmethyl)taxol.

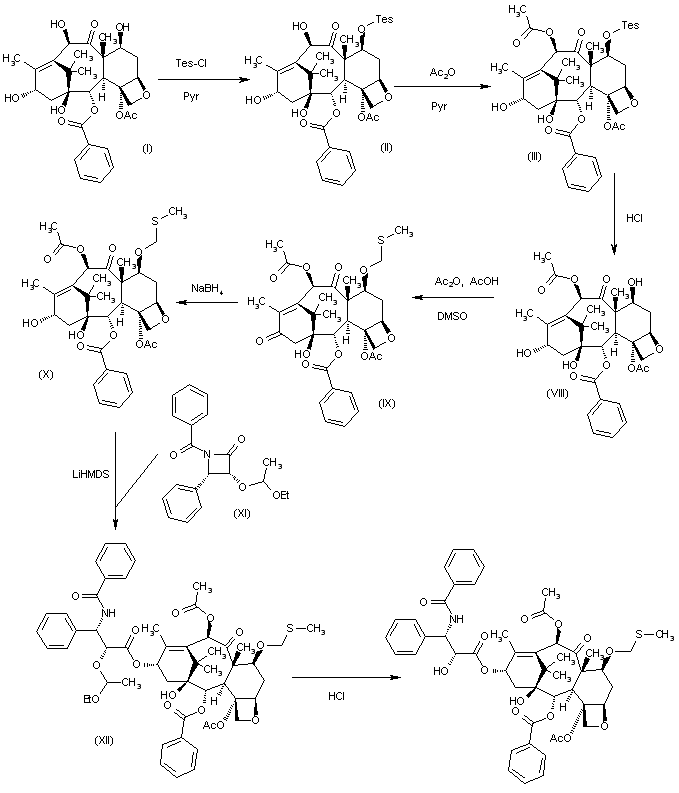
合成路线图解说明:

The reaction of 10-O-deacetyl-baccatin III (I) with triethylsilyl chloride and pyridine gives the 7-O-silyl derivative (II), which is acylated with Ac2O and pyridine to yield 7-O-(triethylsilyl)baccatin III (III). The desilylation of (III) by means of HCl in ethanol yields baccatin III (VIII), which is condensed with DMSO by means of Ac2O and HOAc to afford the ketonic derivative (IX). The reduction of (IX) by means of NaBH4 in ethanol affords 7-O-(methylsulfanylmethyl)baccatin III (X), which is condensed with the chiral azetidinone (XI) by means of LiHMDS in THF to provide 2'-O-(1-ethoxyethyl)-7-O-(methylsulfanylmethyl)taxol (XII). Finally, this compound is deprotected by means of HCl in ethanol to give the target 7-O-(methylsulfanylmethyl)taxol.

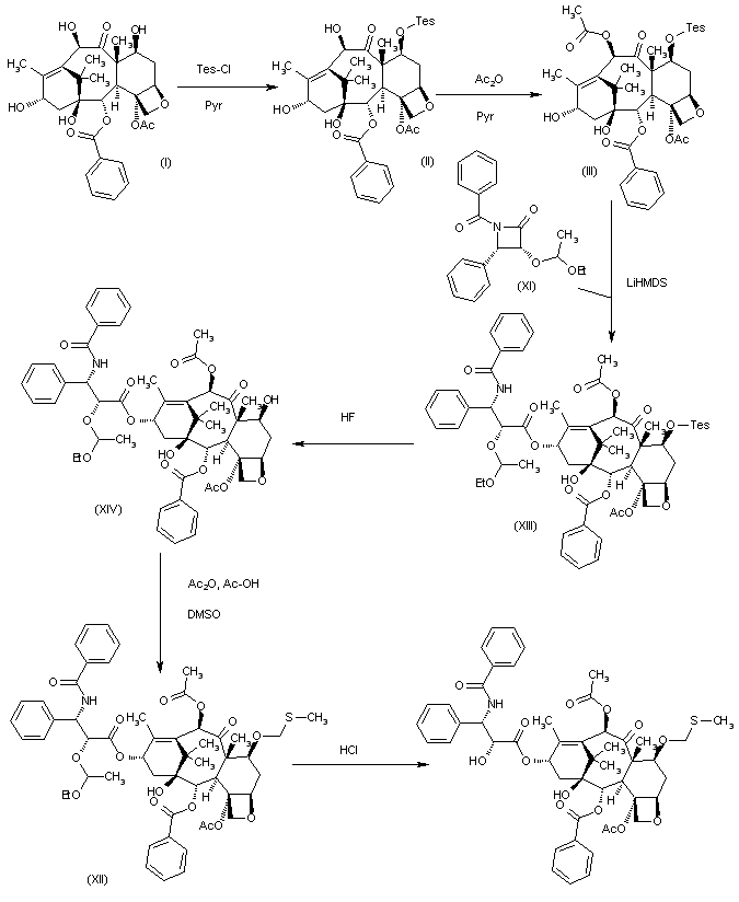
合成路线图解说明:

The reaction of 10-O-deacetyl-baccatin III (I) with triethylsilyl chloride and pyridine gives the 7-O-silyl derivative (II), which is acylated with Ac2O and pyridine to yield 7-O-(triethylsilyl)baccatin III (III). The condensation of (III) with the chiral azetidine (XI) by means of LiHMDS In THF affords 2'-O-(1-ethoxyethyl)-7-O-(triethylsilyl)taxol (XIII), which is treated with HF and pyridine to provide the desilylated taxol derivative (XIV). The reaction of (XIV) with DMSO, Ac2O and HOAc gives the 2'-O-protected 7-O-(methylsulfanylmethyl) derivative (XII), which is finally deprotected by means of HCl in ethanol to yield the target 7-O-(methylsulfanylmethyl)taxol.

参考文献No.447151
标题:Synthesis and antitumor evaluation of paclitaxel phosphonooxymethyl ethers: A novel class of water soluble paclitaxel pro-drugs
作者:Golik, J.; et al.
来源:Bioorg Med Chem Lett 1996,6(15),1837
合成路线图解说明:

Paclitaxel (I) was protected as the 2'-(triethylsilyl) derivative (II) and then converted to the 7-methylsulfanylmethyl ether (III) by treatment with dimethyl sulfide and benzoyl peroxide. Subsequent desilylation of (III) using aqueous acetic acid or HCl in H2O/CH3CN furnished the desired 7-O-methylsulfanylmethyl paclitaxel. Alternatively, the title compound was also obtained by direct methylsulfanylmethylation of paclitaxel.

参考文献No.645569
标题:Synthesis and antitumor activity of novel C-7 paclitaxel ethers: Discovery of BMS-184476
作者:Altstadt, T.J.; Fairchild, C.R.; Golik, J.; Johnston, K.A.; Kadow, J.F.; Lee, F.Y.F.; Long, B.H.; Rose, W.C.; Vyas, D.M.; Wong, H.; Wu, M.J.; Wittman, M.D.
来源:J Med Chem 2001,44(26),4577
合成路线图解说明:

Paclitaxel (I) was protected as the 2'-(triethylsilyl) derivative (II) and then converted to the 7-methylsulfanylmethyl ether (III) by treatment with dimethyl sulfide and benzoyl peroxide. Subsequent desilylation of (III) using aqueous acetic acid or HCl in H2O/CH3CN furnished the desired 7-O-methylsulfanylmethyl paclitaxel. Alternatively, the title compound was also obtained by direct methylsulfanylmethylation of paclitaxel.

Drug Information Express,Drug R&D,Chemical Database,Patent Search.
Copyright © 2006-2026 Drug Future. All rights reserved.Contact Us