【药物名称】KRP-199
化学结构式(Chemical Structure):
参考文献No.38717
标题:6,7-Asymmetrically disubstd. quinoxalinecarboxylic acid derivs., addition salts thereof, and processes for the preparation of both
作者:Takano, Y.; Takadoi, M.; Ando, N.; Anraku, T.; Shiga, F.; Uchiki, H.; Asano, J.; Fukuchi, K.; Uda, J. (Kyorin Pharmaceutical Co., Ltd.)
来源:EP 1020453; JP 2000080085; US 6348461; WO 9911632
合成路线图解说明:

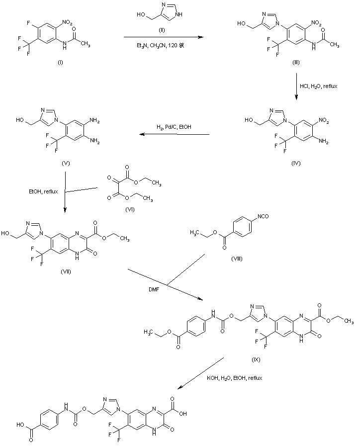
The condensation between 5-acetamido-2-fluoro-4-nitrobenzotrifluoride (I) and 4-(hydroxymethyl)imidazole (II) in acetonitrile at 120 C in a sealed vessel furnished aryl imidazole (III). Subsequent acetamide hydrolysis in (III) with aqueous HCl provided nitro amine (IV), which was further reduced to phenylenediamine (V) by catalytic hydrogenation over Pd/C. Quinoxaline (VII) was prepared by condensation of phenylenediamine (V) with diethyl oxomalonate (VI) in boiling EtOH. The primary hydroxyl group of (VII) was then condensed with ethyl 4-isocyanatobenzoate (VIII) yielding carbamate (IX). Finally, both ethyl ester groups of (IX) were hydrolyzed by means of KOH to produce the target dicarboxylic acid.

Drug Information Express,Drug R&D,Chemical Database,Patent Search.
Copyright © 2006-2026 Drug Future. All rights reserved.Contact Us